
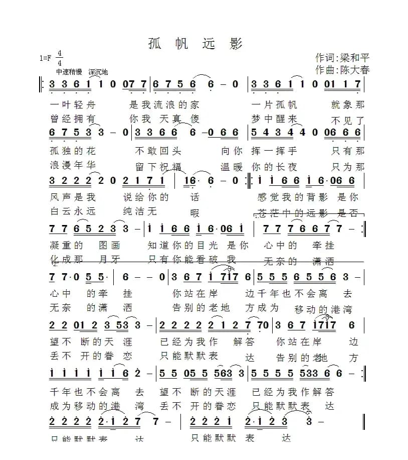
孤帆远影_通俗唱法乐谱_词曲:梁和平 陈大春简谱歌词是曲谱查询网于2023年06月12日 18:50:53更新在通俗歌曲谱频道中的内容,收录在通俗歌曲谱栏目中;曲谱查询网分享的孤帆远影_通俗唱法乐谱_词曲:梁和平 陈大春简谱五线谱高清图片,欢迎在线免费下载;曲谱查询网无需注册,即可直接下载海量歌曲谱与乐器学习相关资料。
曲谱查询网收录古今中外海量歌曲谱,如歌曲简谱、乐曲五线谱、PDF乐谱、戏曲谱、器乐相关资源下载等,欢迎查阅!

孤帆远影_通俗唱法乐谱_词曲:梁和平 陈大春简谱歌词是曲谱查询网于2023年06月12日 18:50:53更新在通俗歌曲谱频道中的内容,收录在通俗歌曲谱栏目中;曲谱查询网分享的孤帆远影_通俗唱法乐谱_词曲:梁和平 陈大春简谱五线谱高清图片,欢迎在线免费下载;曲谱查询网无需注册,即可直接下载海量歌曲谱与乐器学习相关资料。
本篇为您分享通俗唱法曲谱 城中瀑布,由邓旭恒 蔡俊良 词/曲, 演唱,菠萝 编辑整理…《城中瀑布》文本歌词游过了多少天下名城 最难见城中有瀑布飞腾彩虹给闹市戴上花环瀑布用歌声赞美新城人淋水雾满脸笑喜穿水帘听涛声好一个贡井城中瀑歌一样的情怀酒一样的醉人歌一样的情怀酒一样的醉人歌一样的情怀酒一样的醉...
911 通俗唱法歌谱 城中瀑布 邓旭恒 蔡俊良本篇为您分享通俗唱法曲谱 珍重(何春燕词 秦凯龙曲),由何春燕 秦凯龙 词/曲,秦凯龙 演唱,昊昊 编辑整理…《珍重》2017秦凯龙原创专辑中第一首主打歌演唱:秦凯龙作词:何春燕作曲:秦凯龙MP3试听:http://5sing.kugou.com/yc/3357287.html《珍重》文本歌词[0...
1072 通俗唱法歌谱 珍重 何春燕 秦凯龙本篇为您分享通俗唱法曲谱 挽留(邓永旺词 应华熠曲),由邓永旺 应华熠 词/曲, 演唱,喜喜 编辑整理…致谢:《曲谱查询网》衷心感谢作者老师馈赠原版歌谱!...
943 通俗唱法歌谱 挽留 邓永旺 应华熠本篇为您分享通俗唱法曲谱 种花曲(电影《恼人春色》插曲),由程小青 姚敏 词/曲, 演唱,青檬 编辑整理…...
1059 通俗唱法歌谱 种花曲 程小青 姚敏本篇为您分享通俗唱法曲谱 爱你曾让我不在乎,由方心思 逸夫 词/曲, 演唱,小英 编辑整理…...
1388 通俗唱法歌谱 爱你曾让我不在乎 方心思 逸夫本篇为您分享通俗唱法曲谱 美丽的翅膀(刘爱斌词 钱诚曲),由刘爱斌 钱诚 词/曲, 演唱,小不点 编辑整理…...
1266 通俗唱法歌谱 美丽的翅膀 刘爱斌 钱诚本篇为您分享通俗唱法曲谱 谁为谁回头,由秦岛 李建东 词/曲, 演唱,北北 编辑整理…《谁为谁回头》文本歌词谁为谁回头作词: 秦 岛作曲: 李建东想不到你走的理由就让时间作为借口思念的代价还是思念那个城市我无缘拥有每天奔波只为忘记忧愁怎样才能抹去你的温柔远方笑容总在梦的尽头转身之间牵...
1183 通俗唱法歌谱 谁为谁回头 秦岛 李建东本篇为您分享通俗唱法曲谱 爱情滋味(男女声二重唱),由焦一富蓝 周善儒 词/曲, 演唱,掩掩 编辑整理…...
580 通俗唱法歌谱 爱情滋味 焦一富蓝 周善儒| 留言与评论(共有 0 条评论) |
