

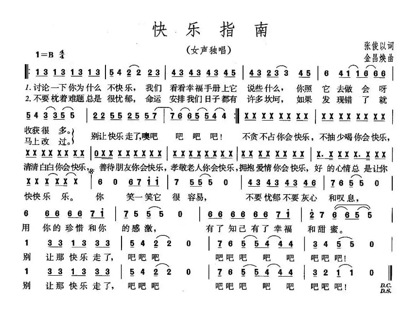
快乐指南_通俗唱法乐谱_词曲:张俊以 金昌焕简谱歌词是曲谱查询网于2023年06月17日 03:20:17更新在通俗歌曲谱频道中的内容,收录在通俗歌曲谱栏目中;曲谱查询网分享的快乐指南_通俗唱法乐谱_词曲:张俊以 金昌焕简谱五线谱高清图片,欢迎在线免费下载;曲谱查询网无需注册,即可直接下载海量歌曲谱与乐器学习相关资料。
曲谱查询网收录古今中外海量歌曲谱,如歌曲简谱、乐曲五线谱、PDF乐谱、戏曲谱、器乐相关资源下载等,欢迎查阅!


快乐指南_通俗唱法乐谱_词曲:张俊以 金昌焕简谱歌词是曲谱查询网于2023年06月17日 03:20:17更新在通俗歌曲谱频道中的内容,收录在通俗歌曲谱栏目中;曲谱查询网分享的快乐指南_通俗唱法乐谱_词曲:张俊以 金昌焕简谱五线谱高清图片,欢迎在线免费下载;曲谱查询网无需注册,即可直接下载海量歌曲谱与乐器学习相关资料。
本篇为您分享通俗唱法曲谱 韵动中国(第三届全国体育大会会歌),由华也 姜兴龙 词/曲, 演唱,小九 编辑整理…...
1169 通俗唱法歌谱 韵动中国 华也 姜兴龙本篇为您分享通俗唱法曲谱 我是小草不是花(范修奎词 张朱论曲),由范修奎 张朱论 词/曲, 演唱,榕儿 编辑整理…...
1863 通俗唱法歌谱 我是小草不是花 范修奎 张朱论本篇为您分享通俗唱法曲谱 喜欢就去追,由郑兴文 郑兴文 词/曲,董冬 演唱,小博 编辑整理…试听地址:http://act3.ent.qq.com/ent/132/show.php?id=1142附件:歌词《喜欢就去追》喜欢就去追,失败别心灰,迎着风雨踏冰雪,用心把握机会,喜欢就去追,跌倒无所谓...
1266 通俗唱法歌谱 喜欢就去追 郑兴文 董冬本篇为您分享通俗唱法曲谱 说好的幸福呢(编配乐谱),由方文山 周杰伦 词/曲,周杰伦 演唱,冰冰棒 编辑整理…...
273 通俗唱法歌谱 说好的幸福呢 方文山 周杰伦本篇为您分享通俗唱法曲谱 寒山问拾得 ,由老九 陈慧婷 词/曲, 演唱,小鹦鹉 编辑整理…《寒山问拾得 》文本歌词《寒山问拾得》寒山问拾得作词:季明达作曲:陈慧婷演唱:李封序编曲:刘琦........寒山问拾得善恶的因果只因在心中起了团怒火拾得寒山寺豁达又洒脱少私无寡欲极大地解脱修身又养性完善与自我...
602 通俗唱法歌谱 寒山问拾得 老九 陈慧婷本篇为您分享通俗唱法曲谱 吉祥(刘珂矣 百慕三石词 桑吉平措 百慕三石曲),由刘珂矣 百慕三石 桑吉平措 百慕三石 词/曲,胡守超 演唱,白果 编辑整理…...
1950 通俗唱法歌谱 吉祥 胡守超| 留言与评论(共有 0 条评论) |
