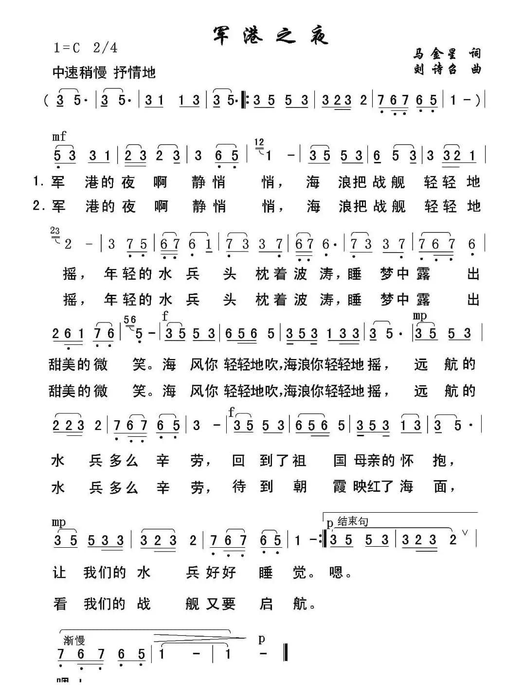
名称:军港之夜
艺术家:苏小明
国家:中国
作词:马金星
作曲:刘诗召
演唱:苏小明
分类:声乐谱
子类:通俗唱法歌谱
类型:简谱/五线谱
文件格式:jpg
1980年秋天,在由“北京晚报”等单位联合举办的“新星音乐会”上,海政文工团青年歌手苏小明的一曲《军港之夜》一举成名,在那个特殊的年代,《军港之夜》风靡军内外,广受欢迎,但也有人公开批判说,苏小明的歌,曲调咿咿呀呀,没有革命气势,纯属“靡靡之音”。一位音乐权威也称《军港之夜》格调不高:当兵就要提高警惕,怎么能唱海军战士睡觉呢?海军机关有人反应更激烈:这样的演员部队不能留,要处理。时光荏苒,星移斗转,这么多年过去,国家发生了翻天覆地的巨变,人们的思想也更加成熟、理性和开放。当初批评过苏小明唱《军港之夜》的人,恐怕绝不会想到,《军港之夜》已成为中国军旅歌曲的海军经典代表曲目。




《军港之夜》文本歌词
军港之夜
演唱:苏小明
军港的夜啊静悄悄
海浪把战舰轻轻地摇
年轻的水兵头枕着波涛
睡梦中露出甜美的微笑
海风你轻轻地吹
海浪你轻轻地摇
远航的水兵多么辛劳
回到了祖国母亲的怀抱
让我们的水兵好好睡觉
军港的夜啊静悄悄
海浪把战舰轻轻地摇
年轻的水兵头枕着波涛
睡梦中露出甜美的微笑
海风你轻轻地吹
海浪你轻轻地摇
远航的水兵多么辛劳
待到朝霞映红了海面
看我们的战舰又要起锚












