
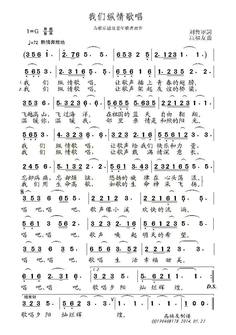
我们纵情歌唱_美声唱法乐谱_词曲:刘鲁军 高福友简谱歌词是曲谱查询网于2023年06月21日 20:41:15更新在美声歌曲谱频道中的内容,收录在美声歌曲谱栏目中;曲谱查询网分享的我们纵情歌唱_美声唱法乐谱_词曲:刘鲁军 高福友简谱五线谱高清图片,欢迎在线免费下载;曲谱查询网无需注册,即可直接下载海量歌曲谱与乐器学习相关资料。
曲谱查询网收录古今中外海量歌曲谱,如歌曲简谱、乐曲五线谱、PDF乐谱、戏曲谱、器乐相关资源下载等,欢迎查阅!

我们纵情歌唱_美声唱法乐谱_词曲:刘鲁军 高福友简谱歌词是曲谱查询网于2023年06月21日 20:41:15更新在美声歌曲谱频道中的内容,收录在美声歌曲谱栏目中;曲谱查询网分享的我们纵情歌唱_美声唱法乐谱_词曲:刘鲁军 高福友简谱五线谱高清图片,欢迎在线免费下载;曲谱查询网无需注册,即可直接下载海量歌曲谱与乐器学习相关资料。
本篇分享美声唱法曲谱 每当中国国歌响起(正谱),由葛福民 张德俊 词/曲, 演唱,小挺 整理…...
1614 美声唱法歌谱 每当中国国歌响起 葛福民 张德俊本篇分享美声唱法曲谱 但愿人长久(苏轼词 刘学严曲),由苏轼 刘学严 词/曲, 演唱,小米书 整理…...
1238 美声唱法歌谱 但愿人长久 苏轼 刘学严本篇分享美声唱法曲谱 多少个月明星稀的晚上,由李德甫 李欣治 李德甫 李欣治 词/曲, 演唱,益康 整理…...
1920 美声唱法歌谱 多少个月明星稀的晚上本篇分享美声唱法曲谱 可爱的故乡(秦建国词 钱诚曲),由秦建国 钱诚 词/曲, 演唱,球球 整理…...
1560 美声唱法歌谱 可爱的故乡 秦建国 钱诚本篇分享美声唱法曲谱 可可豆豆香,由张炳勋 张炳勋 词/曲,李湘湘 演唱,小安吉 整理…花腔女高音演绎儿歌甲午年白露音乐老爷子张炳勋老爷子在七年前刚刚涉网踏浪,就来了一位中央戏剧学院毕业的女孩叫可可,管我叫爷爷。她的人生青春脚步很顺畅,恋爱、结婚、生子一气呵成,女儿叫豆豆。可可经常演出音乐会唱歌,我...
1711 美声唱法歌谱 可可豆豆香 张炳勋 李湘湘本篇分享美声唱法曲谱 无与伦比(李幼容词 臧东升曲),由李幼容 臧东升 词/曲, 演唱,天天 整理…...
978 美声唱法歌谱 无与伦比 李幼容 臧东升| 留言与评论(共有 0 条评论) |
