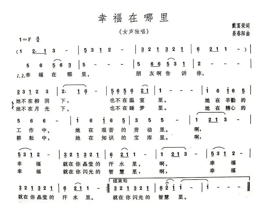
名称:幸福在哪里 戴富荣词 姜春阳曲
国家:中国
作词:戴富荣
作曲:姜春阳
分类:声乐谱
子类:美声唱法歌谱
类型:简谱/五线谱
文件格式:jpg
在线播放的是王莉演唱版本



《幸福在哪里》文本歌词
幸福在哪里幸福在哪里.朋友啊告诉你.
她不在柳荫下,也不在温室里.
她在辛勤的工作中.她在艰苦的劳动里
啊.幸福.就在你晶莹地汗水里啊.
幸福.就在你晶莹地汗水里
幸福在哪里.朋友啊告诉你
她不在月光下.也不在睡梦里
她在精心的耕作中.她在知识的宝库里
啊幸福.就是你闪光的智慧里
啊幸福.就是你闪光的智慧里












