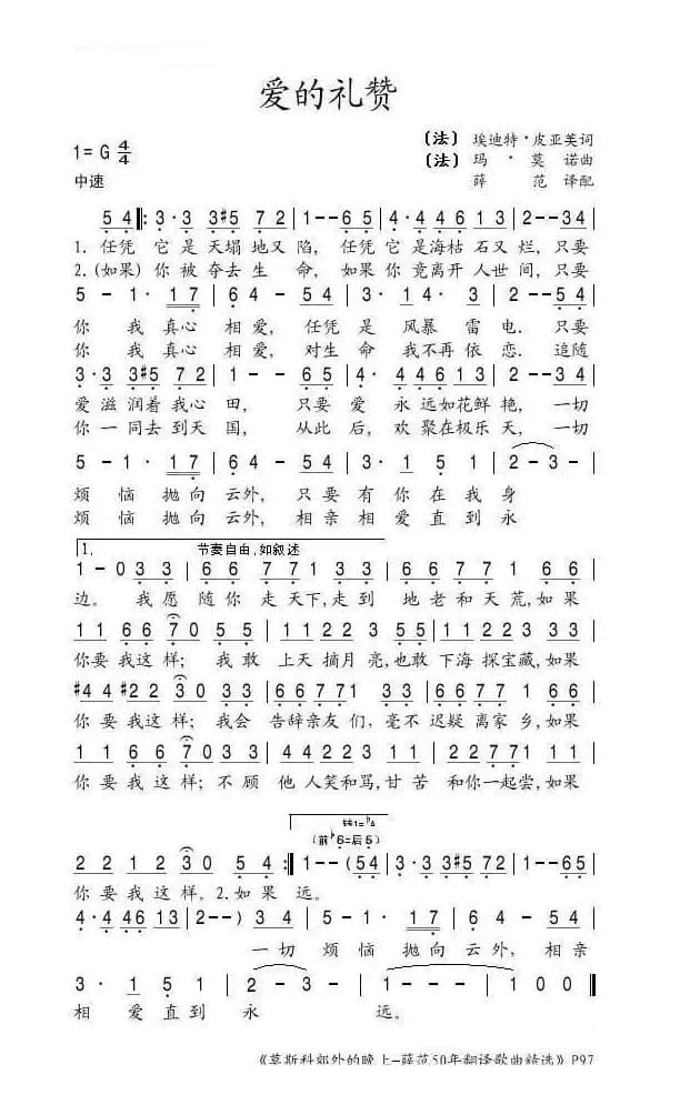
![[法]爱的礼赞](http://img2.qpcxw.com/uploads/images/waiguo/016/gy1zhfbesfl.webp)
爱的礼赞(法国)_外国歌谱_词曲:简谱歌词是曲谱查询网于2023年05月16日 11:48:50更新在外国曲谱频道中的内容,收录在外国曲谱栏目中;曲谱查询网分享的爱的礼赞(法国)_外国歌谱_词曲:简谱五线谱高清图片,欢迎在线免费下载;曲谱查询网无需注册,即可直接下载海量歌曲谱与乐器学习相关资料。
曲谱查询网收录古今中外海量歌曲谱,如歌曲简谱、乐曲五线谱、PDF乐谱、戏曲谱、器乐相关资源下载等,欢迎查阅!
![[法]爱的礼赞](http://img2.qpcxw.com/uploads/images/waiguo/016/gy1zhfbesfl.webp)
爱的礼赞(法国)_外国歌谱_词曲:简谱歌词是曲谱查询网于2023年05月16日 11:48:50更新在外国曲谱频道中的内容,收录在外国曲谱栏目中;曲谱查询网分享的爱的礼赞(法国)_外国歌谱_词曲:简谱五线谱高清图片,欢迎在线免费下载;曲谱查询网无需注册,即可直接下载海量歌曲谱与乐器学习相关资料。
本篇为您分享外国歌曲谱 [奥]小夜曲(正谱),由 [奥]H.沃尔夫 词/曲, 演唱,小欢 编辑整理…《[奥]小夜曲(正谱)》文本歌词50.[奥]小夜曲(正谱)[奥]H.沃尔夫 曲 (1860-1903)...
1637 奥地利 小夜曲 H沃尔夫本篇为您分享外国歌曲谱 [日]おまえの家(你的家),由[日]中島みゆき [日]中島みゆき 词/曲,[日]中島みゆき 演唱,小关 编辑整理…《おまえの家(你的家)》这首歌,是1978年4月10日,中岛美雪发行的第四张原创专辑《愛していると云ってくれ(说你爱我)》的一首歌曲,跟这个专辑其他歌曲那样,例如...
1723 日本 おまえの家 中島みゆき本篇为您分享外国歌曲谱 黎明 ,由尚家骧译配 [意]列昂卡瓦洛 词/曲, 演唱,久久 编辑整理…...
489 黎明 尚家骧译配 意大利 列昂卡瓦洛本篇为您分享外国歌曲谱 [意]英勇战斗(合唱),由 尚家骧译配 词/曲, 演唱,小豆丁 编辑整理…选自《世界反法西斯歌曲·精品集》...
52 意大利 英勇战斗 尚家骧译配本篇为您分享外国歌曲谱 [美]铃儿响叮当(中英文对照),由 邓映易译配 词/曲, 演唱,恺儿 编辑整理…...
1075 美国 铃儿响叮当 邓映易译配本篇为您分享外国歌曲谱 [意]La donna e mobile(女人爱变卦)(弹唱谱),由 词/曲, 演唱,陶重 编辑整理…...
1400 意大利本篇为您分享外国歌曲谱 You're in My Heart(你在我心中),由 词/曲, 演唱,alexander 编辑整理…选自刘影选编《英文流行歌曲经典100首》...
470本篇为您分享外国歌曲谱 [意]你在天使怀抱(正谱)(选自歌剧《命运的力量》),由 [意]G.威尔第 词/曲, 演唱,可可 编辑整理…《[意]你在天使怀抱(正谱)》文本歌词79.[意]你在天使怀抱(正谱)阿尔瓦罗的咏叹调 选自歌剧《命运的力量》[意]G.威尔第 曲 (1813-1901)...
1628 意大利 你在天使怀抱 G威尔第本篇为您分享外国歌曲谱 声乐教学曲库4-[俄]46云雀(正谱) ,由库科里尼克 М·М·格林卡 词/曲, 演唱,小年糕 编辑整理…《声乐教学曲库4-[俄]46云雀(正谱) 》文本歌词声乐教学曲库4-[俄]46云雀(正谱)库科里尼克 词М·Н·格林卡 曲薛范 译配...
825 声乐教学曲库4-俄罗斯 46云雀 库科里尼克 М·М·格林卡本篇为您分享外国歌曲谱 [德]莲花(正谱),由 [德]R·舒曼 词/曲, 演唱,小仓 编辑整理…《[德]莲花》文本歌词40.[德]莲花(正谱)[德]R·舒曼 曲 (1810-1856) 尚家骧 译配...
241 德国 莲花 R·舒曼| 留言与评论(共有 0 条评论) |
