
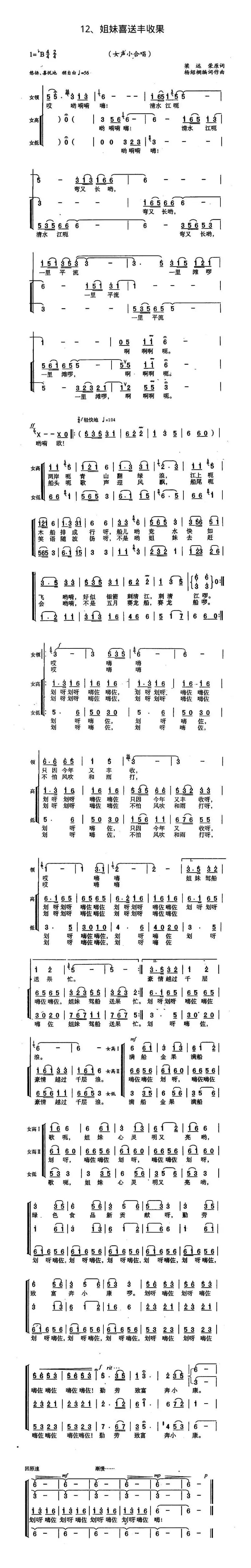
姐妹喜送丰收果_合唱歌谱_词曲:梁远荣 杨绍榈改词作曲简谱歌词是曲谱查询网于2023年05月06日 20:39:36更新在合唱歌谱频道中的内容,收录在合唱歌谱栏目中;曲谱查询网分享的姐妹喜送丰收果_合唱歌谱_词曲:梁远荣 杨绍榈改词作曲简谱五线谱高清图片,欢迎在线免费下载;曲谱查询网无需注册,即可直接下载海量歌曲谱与乐器学习相关资料。
曲谱查询网收录古今中外海量歌曲谱,如歌曲简谱、乐曲五线谱、PDF乐谱、戏曲谱、器乐相关资源下载等,欢迎查阅!

姐妹喜送丰收果_合唱歌谱_词曲:梁远荣 杨绍榈改词作曲简谱歌词是曲谱查询网于2023年05月06日 20:39:36更新在合唱歌谱频道中的内容,收录在合唱歌谱栏目中;曲谱查询网分享的姐妹喜送丰收果_合唱歌谱_词曲:梁远荣 杨绍榈改词作曲简谱五线谱高清图片,欢迎在线免费下载;曲谱查询网无需注册,即可直接下载海量歌曲谱与乐器学习相关资料。
本篇为您分享合唱歌曲谱 人民是江山(合唱),由石祥 杨会林 词/曲,老战士合唱队 演唱,慧慧 编辑整理…...
603 老战士合唱队 杨会林 石祥 人民是江山本篇为您分享合唱歌曲谱 金灿灿的丰碑,由詹皓 石玉泉 词/曲, 演唱,帆帆 编辑整理…致谢:《曲谱查询网》衷心感谢作者老师馈赠原版歌谱!《金灿灿的丰碑》文本歌词52.金灿灿的丰碑(合唱)詹皓 词石玉泉 曲...
1406 石玉泉 詹皓 金灿灿的丰碑本篇为您分享合唱歌曲谱 歌剧《洪湖赤卫队》全剧第五场 第三曲,由 词/曲, 演唱,小虾 编辑整理…...
1654 第三曲 歌剧洪湖赤卫队全剧第五场本篇为您分享合唱歌曲谱 春华秋实年复年(京歌合唱),由吴丕能 朱顺宝 词/曲, 演唱,虎仔 编辑整理…衷心感谢谱友老金牛提供此谱!...
1375 春华秋实年复年 吴丕能 朱顺宝本篇为您分享合唱歌曲谱 驼铃声声关山长(电视艺术片《班禅东行》主题歌),由孙德民 夏中汤 词/曲,刘秉义 演唱,子灵 编辑整理…...
137 刘秉义 夏中汤 孙德民 驼铃声声关山长本篇为您分享合唱歌曲谱 打门歌(五线谱),由 湖南民歌、薛花明改编 词/曲, 演唱,小雅 编辑整理…...
1184 薛花明改编 湖南民歌 打门歌 云南永胜民歌、夏毅新选编| 留言与评论(共有 0 条评论) |
