
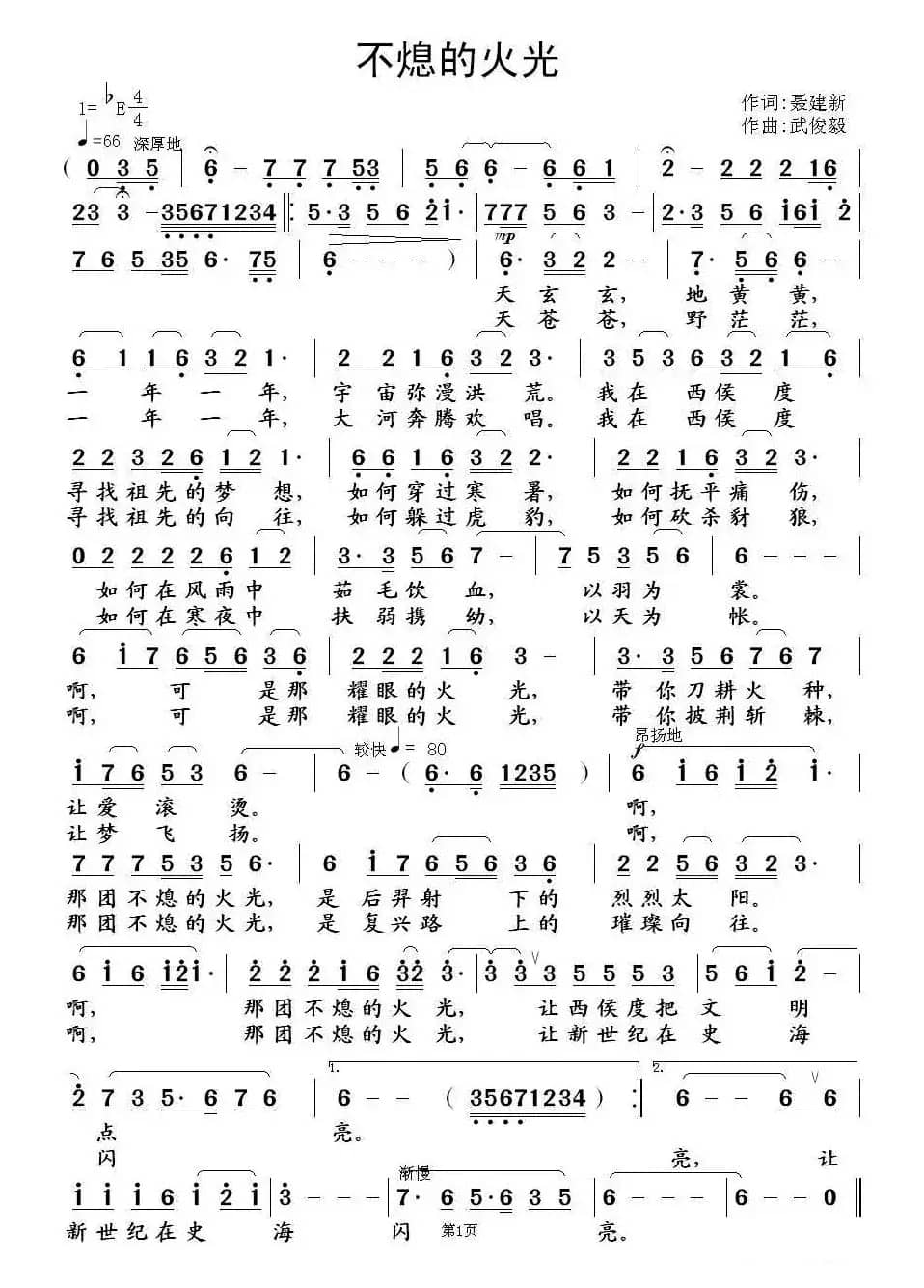
不熄的火光_民歌简谱_词曲:聂建新 武俊毅简谱歌词是曲谱查询网于2022年11月22日 01:44:40更新在民歌曲谱频道中的内容,收录在民歌曲谱栏目中;曲谱查询网分享的不熄的火光_民歌简谱_词曲:聂建新 武俊毅简谱五线谱高清图片,欢迎在线免费下载;曲谱查询网无需注册,即可直接下载海量歌曲谱与乐器学习相关资料。
曲谱查询网收录古今中外海量歌曲谱,如歌曲简谱、乐曲五线谱、PDF乐谱、戏曲谱、器乐相关资源下载等,欢迎查阅!

不熄的火光_民歌简谱_词曲:聂建新 武俊毅简谱歌词是曲谱查询网于2022年11月22日 01:44:40更新在民歌曲谱频道中的内容,收录在民歌曲谱栏目中;曲谱查询网分享的不熄的火光_民歌简谱_词曲:聂建新 武俊毅简谱五线谱高清图片,欢迎在线免费下载;曲谱查询网无需注册,即可直接下载海量歌曲谱与乐器学习相关资料。
本文分享民歌谱 再唱东方红(予子词 桑楠曲),由予子 桑楠 词/曲, 演唱,叮叮 编辑整理…《再唱东方红》文本歌词再唱东方红予子词 桑楠曲正月里来正月正,信天游高唱东方红。想起当年八路军,想起领袖毛泽东。共产党英明传天下哎,解放区的天是朗格格的晴。正月里来正月正,信天游又唱东方红。讲起春天的故事,描...
951 再唱东方红 予子 桑楠本文分享民歌谱 你心中装着老百姓(丁恩昌词 董文才曲),由丁恩昌 董文才 词/曲, 演唱,小志 编辑整理…...
679 你心中装着老百姓 丁恩昌 董文才本文分享民歌谱 洞庭渔郎歌,由 词/曲,曹志强 演唱,矛矛 编辑整理…MV地址:http://v.youku.com/v_show/id_XMzIwNDMxODA=.html...
1890 洞庭渔郎歌曹志强本文分享民歌谱 英雄戴上军功章,由任红举 叶长安 词/曲, 演唱,金儿 编辑整理…创作歌曲选 《英雄伴我守边陲》...
1379 英雄戴上军功章 任红举 叶长安本文分享民歌谱 跑马山情思(正谱),由柴永柏 孙洪斌 郑仁清 词/曲,拥江帆 演唱,铁铁 编辑整理…《跑马山情思》文本歌词跑马山情思作词:柴永柏 作曲:孙洪斌 郑仁清白云飘在跑马山多彩的经筒不停旋转滔滔折多河一路蜿蜒诉说着康巴儿女无尽缠绵多少个心愿多少个期盼在我心中默念心爱的姑娘心手相连尼玛...
1730 跑马山情思 柴永柏 拥江帆本文分享民歌谱 你是子弟兵,你是百姓的娃,由孙振春 张志耕 词/曲, 演唱,骆驼 编辑整理…...
786 你是子弟兵 你是百姓的娃 孙振春 张志耕| 留言与评论(共有 0 条评论) |
