

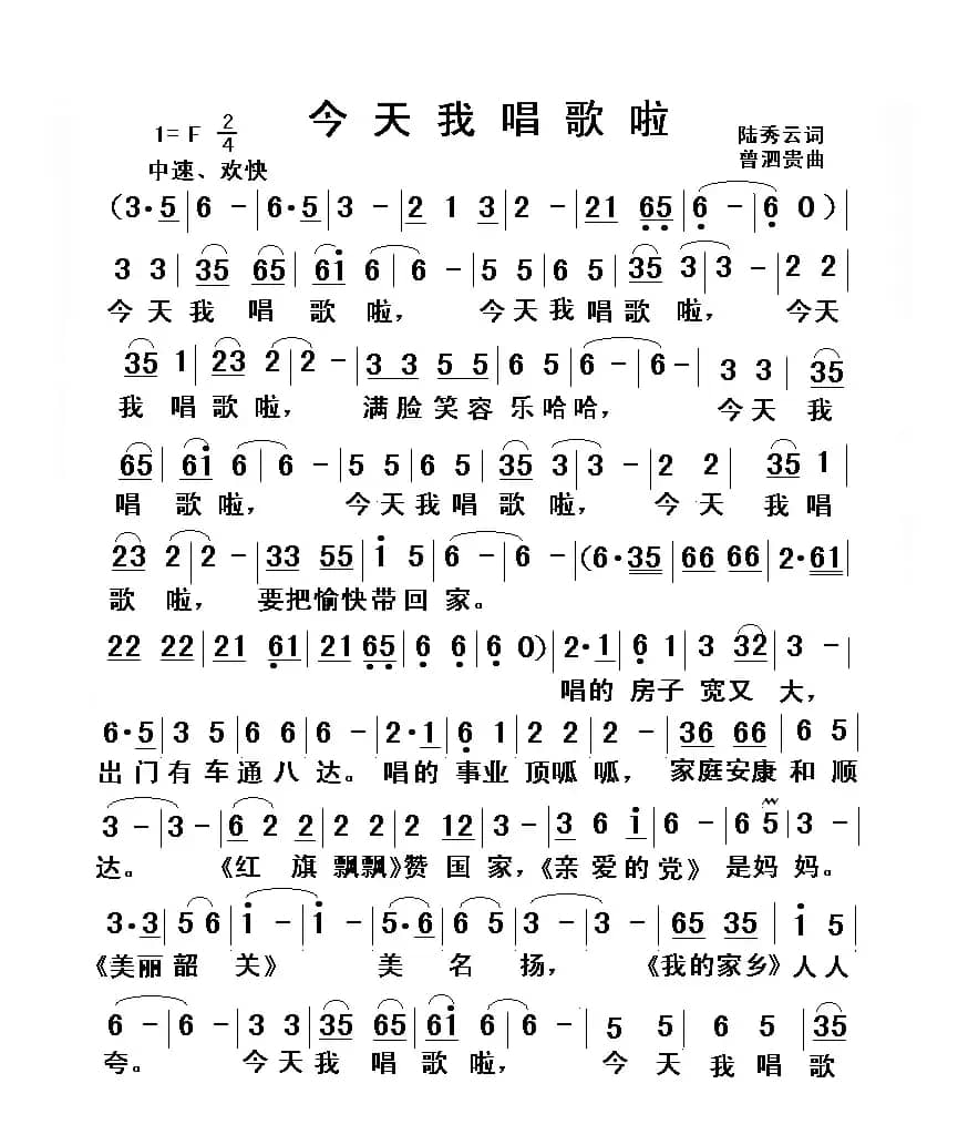
今天我唱歌啦_民歌简谱_词曲:陆秀云 曾泗贵简谱歌词是曲谱查询网于2022年12月09日 03:10:17更新在民歌曲谱频道中的内容,收录在民歌曲谱栏目中;曲谱查询网分享的今天我唱歌啦_民歌简谱_词曲:陆秀云 曾泗贵简谱五线谱高清图片,欢迎在线免费下载;曲谱查询网无需注册,即可直接下载海量歌曲谱与乐器学习相关资料。
曲谱查询网收录古今中外海量歌曲谱,如歌曲简谱、乐曲五线谱、PDF乐谱、戏曲谱、器乐相关资源下载等,欢迎查阅!


今天我唱歌啦_民歌简谱_词曲:陆秀云 曾泗贵简谱歌词是曲谱查询网于2022年12月09日 03:10:17更新在民歌曲谱频道中的内容,收录在民歌曲谱栏目中;曲谱查询网分享的今天我唱歌啦_民歌简谱_词曲:陆秀云 曾泗贵简谱五线谱高清图片,欢迎在线免费下载;曲谱查询网无需注册,即可直接下载海量歌曲谱与乐器学习相关资料。
本文分享民歌谱 渔夫之歌(新疆俄罗斯族民歌),由 词/曲, 演唱,小角楼 编辑整理…这是一首新疆俄罗斯族民歌。中国境内俄罗斯族主要分布在新疆维吾尔自治区的伊犁、塔城、阿尔泰、乌鲁木齐等,少部分居住在内蒙古自治区呼伦贝尔盟和黑龙江北部地区,语言属印欧语系斯拉夫语族,一贯使用俄文。俄罗斯族民歌的体裁主...
1613 渔夫之歌本文分享民歌谱 山区是个好地方(余志强词 王玉兰曲),由余志强 王玉兰 词/曲, 演唱,蛋蛋 编辑整理…...
1168 山区是个好地方 余志强 王玉兰本文分享民歌谱 祖国在前进(艾则孜尼牙孜词 吐尔逊卡的尔曲),由艾则孜尼牙孜 吐尔逊卡的尔 词/曲, 演唱,阿林 编辑整理…...
1781 祖国在前进 艾则孜尼牙孜 吐尔逊卡的尔 祖国本文分享民歌谱 情恋哈拉,由李一泉 于珂群 词/曲, 演唱,holden 编辑整理…致谢:《曲谱查询网》衷心感谢作者老师馈赠原版歌谱!...
838 情恋哈拉 李一泉 于珂群本文分享民歌谱 光荣啊!中国共青团(共青团团歌 杨慧配),由胡宏伟 雷雨声 词/曲,歌声飞翔MIDI制作 演唱,石榴 编辑整理…五线谱版本,杨慧配钢琴伴奏。MIDI制作——歌声飞翔《光荣啊!中国共青团》文本歌词我们是五月的花海, 用青春拥抱时代。 我们是初升的太阳, 用生命...
679 光荣啊!中国共青团 胡宏伟 雷雨声歌声飞翔MIDI制作| 留言与评论(共有 0 条评论) |
