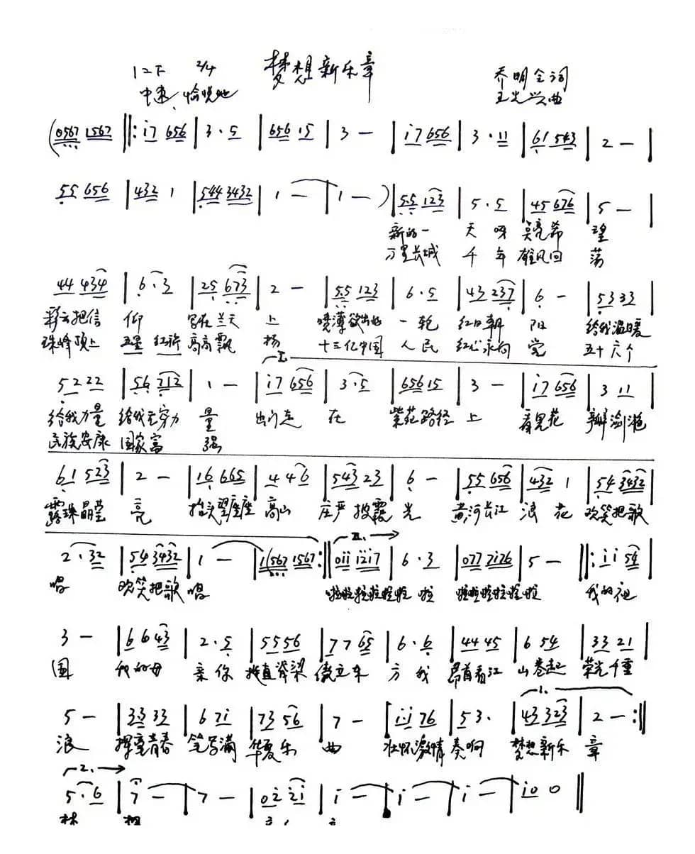
名称:梦想新乐章
国家:中国
作词:乔明全
作曲:王光兴
分类:歌谱
子类:民歌谱
类型:简谱
文件格式:jpg
伴奏在:http://5sing.kugou.com/bz/2565682.html
歌曲在:http://5sing.kugou.com/yc/2742469.html


《梦想新乐章》文本歌词
《梦想新乐章》
乔明全 作词
王光兴 作曲
歌词
新的一天点亮新希望
彩云把信仰写在蓝天上
喷薄欲出的一轮朝阳
给我温暖给我无穷力量
出门走在紫苑径路上
看见花瓣潋滟露珠晶莹亮
抬头望座座高山庄严披霞光
黄河长江浪花欢笑把歌唱
万里长城千年雄风回蕩
珠峰顶上五星红旗高飘扬
十三亿中国人民红心永向党
五十六个民族安康国家渐富强
啊!祖国!你挺直脊梁傲立在东方
我昂首看江山卷起荣光千重浪
挥舞青春笔写满华夏新诗行
壮怀激烈奏响梦想新乐章












