

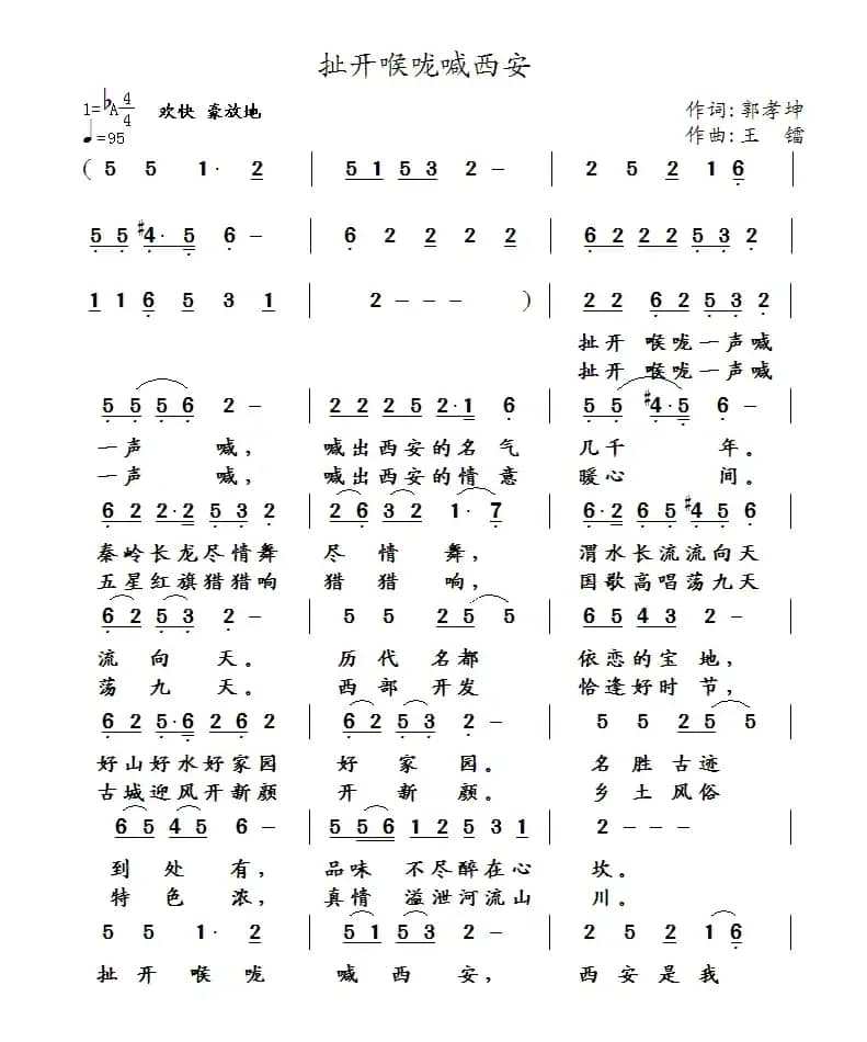
扯开喉咙喊西安_民歌简谱_词曲:郭孝坤 王镭简谱歌词是曲谱查询网于2022年12月11日 20:11:55更新在民歌曲谱频道中的内容,收录在民歌曲谱栏目中;曲谱查询网分享的扯开喉咙喊西安_民歌简谱_词曲:郭孝坤 王镭简谱五线谱高清图片,欢迎在线免费下载;曲谱查询网无需注册,即可直接下载海量歌曲谱与乐器学习相关资料。
曲谱查询网收录古今中外海量歌曲谱,如歌曲简谱、乐曲五线谱、PDF乐谱、戏曲谱、器乐相关资源下载等,欢迎查阅!


扯开喉咙喊西安_民歌简谱_词曲:郭孝坤 王镭简谱歌词是曲谱查询网于2022年12月11日 20:11:55更新在民歌曲谱频道中的内容,收录在民歌曲谱栏目中;曲谱查询网分享的扯开喉咙喊西安_民歌简谱_词曲:郭孝坤 王镭简谱五线谱高清图片,欢迎在线免费下载;曲谱查询网无需注册,即可直接下载海量歌曲谱与乐器学习相关资料。
本文分享民歌谱 我的湘煤我的家(线、简谱混排版),由贺东久 张千一 词/曲,王丽达 演唱,丰丰 编辑整理…...
395 我的湘煤我的家 贺东久 张千一王丽达本文分享民歌谱 高礼泽赞(《文体情深》组歌之四),由陈颖波 多吉华洛 词/曲, 演唱,菠萝 编辑整理…选自《家国之春》...
894 高礼泽赞 陈颖波 多吉华洛 高本文分享民歌谱 唢呐朝天吹(李正身词 晓其曲、正谱),由李正身 晓其 词/曲, 演唱,大双 编辑整理…致谢:《曲谱查询网》衷心感谢作者老师馈赠原版歌谱!原唱+伴奏:http://bbs.qupu123.com/thread-6003-1-1.html 《唢呐朝天吹》文本歌词7.唢呐朝天吹李正身 词...
604 唢呐朝天吹 李正身 晓其| 留言与评论(共有 0 条评论) |
