
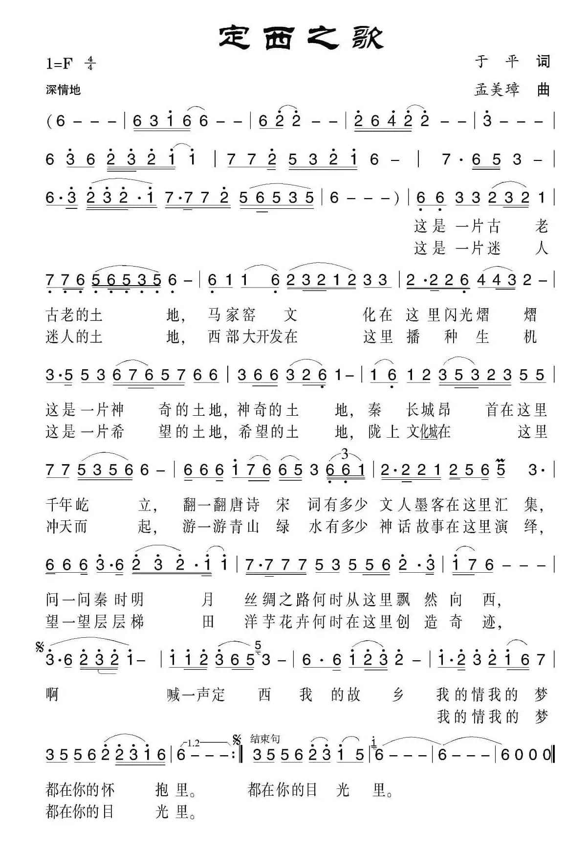
定西之歌_民歌简谱_词曲:于平 孟美璋简谱歌词是曲谱查询网于2022年12月12日 08:19:30更新在民歌曲谱频道中的内容,收录在民歌曲谱栏目中;曲谱查询网分享的定西之歌_民歌简谱_词曲:于平 孟美璋简谱五线谱高清图片,欢迎在线免费下载;曲谱查询网无需注册,即可直接下载海量歌曲谱与乐器学习相关资料。
曲谱查询网收录古今中外海量歌曲谱,如歌曲简谱、乐曲五线谱、PDF乐谱、戏曲谱、器乐相关资源下载等,欢迎查阅!

定西之歌_民歌简谱_词曲:于平 孟美璋简谱歌词是曲谱查询网于2022年12月12日 08:19:30更新在民歌曲谱频道中的内容,收录在民歌曲谱栏目中;曲谱查询网分享的定西之歌_民歌简谱_词曲:于平 孟美璋简谱五线谱高清图片,欢迎在线免费下载;曲谱查询网无需注册,即可直接下载海量歌曲谱与乐器学习相关资料。
本文分享民歌谱 爱的阳光(倪永东词 邹昌昊、邹莹曲),由倪永东 邹昌昊、邹莹 词/曲, 演唱,弥猴桃 编辑整理…《新余有爱》歌曲征集稿...
1770 爱的阳光 倪永东 邹昌昊 邹莹本文分享民歌谱 我的名字叫三沙(叶方义词 党继志曲),由叶方义 党继志 词/曲, 演唱,灌汤包 编辑整理…...
637 我的名字叫三沙 叶方义 党继志| 留言与评论(共有 0 条评论) |
