100%原创!

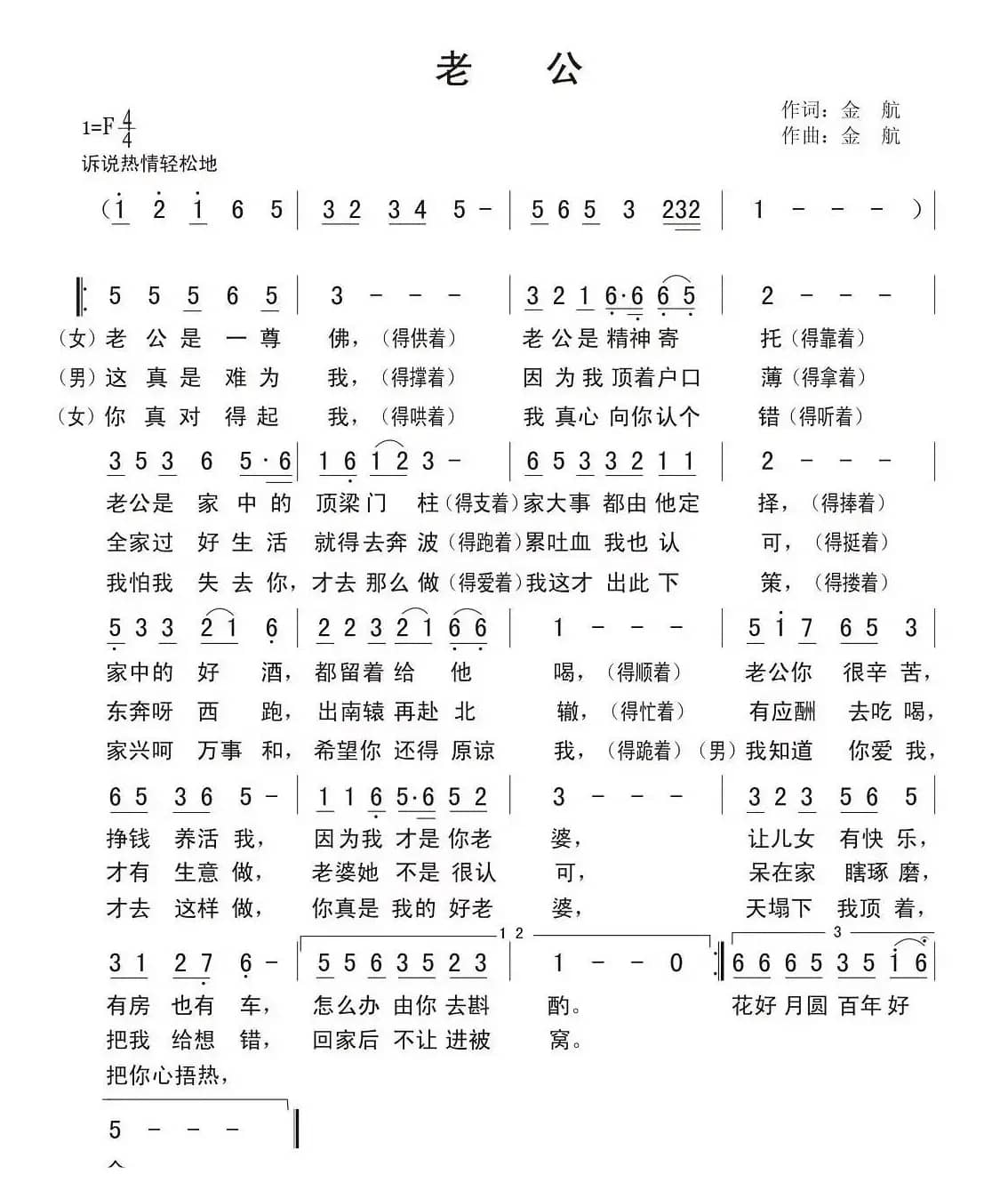
老公_民歌简谱_词曲:金航 金航简谱歌词是曲谱查询网于2022年12月21日 23:30:10更新在民歌曲谱频道中的内容,收录在民歌曲谱栏目中;曲谱查询网分享的老公_民歌简谱_词曲:金航 金航简谱五线谱高清图片,欢迎在线免费下载;曲谱查询网无需注册,即可直接下载海量歌曲谱与乐器学习相关资料。
曲谱查询网收录古今中外海量歌曲谱,如歌曲简谱、乐曲五线谱、PDF乐谱、戏曲谱、器乐相关资源下载等,欢迎查阅!
100%原创!

老公_民歌简谱_词曲:金航 金航简谱歌词是曲谱查询网于2022年12月21日 23:30:10更新在民歌曲谱频道中的内容,收录在民歌曲谱栏目中;曲谱查询网分享的老公_民歌简谱_词曲:金航 金航简谱五线谱高清图片,欢迎在线免费下载;曲谱查询网无需注册,即可直接下载海量歌曲谱与乐器学习相关资料。
本文分享民歌谱 牧归(胡泽新词曲),由胡泽新 胡泽新 词/曲, 演唱,樱樱 编辑整理…这是一首带有现代俄罗斯风味的歌。 衷心感谢曲作者胡泽新老师馈赠曲谱!试听地址:http://yc.5sing.com/243857.html附件:歌词牧归作词:胡泽新作曲:胡泽新1、夕阳染红晚霞,牛羊悠然在河...
1148 牧归 胡泽新本文分享民歌谱 老屋(杨厚爽词 张建东曲),由杨厚爽 张建东 词/曲, 演唱,春儿 编辑整理…《老屋》文本歌词老 屋——“我的老家”原创歌曲作词:杨厚爽 作曲:张建东土墙青瓦,炊烟袅袅伴晨雾,岁岁年年,总把新桃换旧符;几多喜与乐,几多愁与苦,世世代代生活这方土。鸡鸣燕舞,人畜兴旺迎五福,寒来...
638 老屋 杨厚爽 张建东本文分享民歌谱 丝路彩虹(李幼容词 朱小泉曲),由李幼容 朱小泉 词/曲,王琴 演唱,小精灵 编辑整理…致谢:《曲谱查询网》衷心感谢作者老师馈赠原版歌谱!MP3试听:http://5sing.kugou.com/yc/2972758.html《丝路彩虹》文本歌词丝路彩虹一根丝带连友情一条长路系着梦...
627 丝路彩虹 李幼容 朱小泉王琴本文分享民歌谱 田光歌曲选-373聊城美,由黄持一 田光 词/曲, 演唱,王子 编辑整理…《田光歌曲选-373聊城美》文本歌词田光歌曲选-373聊城美黄持一 词田光 曲...
1556 田光歌曲选-373聊城美 黄持一 田光| 留言与评论(共有 0 条评论) |
