
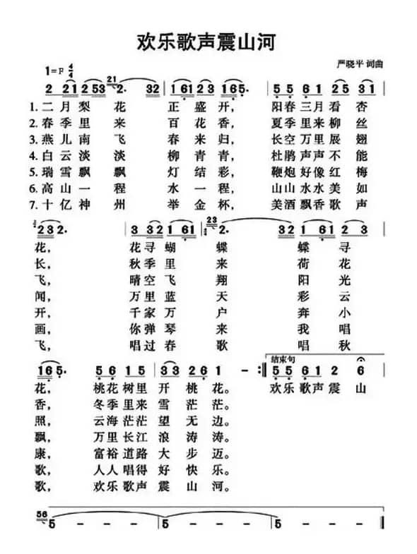
欢乐歌声震山河_民歌简谱_词曲:严晓平 严晓简谱歌词是曲谱查询网于2022年12月23日 20:27:05更新在民歌曲谱频道中的内容,收录在民歌曲谱栏目中;曲谱查询网分享的欢乐歌声震山河_民歌简谱_词曲:严晓平 严晓简谱五线谱高清图片,欢迎在线免费下载;曲谱查询网无需注册,即可直接下载海量歌曲谱与乐器学习相关资料。
曲谱查询网收录古今中外海量歌曲谱,如歌曲简谱、乐曲五线谱、PDF乐谱、戏曲谱、器乐相关资源下载等,欢迎查阅!

欢乐歌声震山河_民歌简谱_词曲:严晓平 严晓简谱歌词是曲谱查询网于2022年12月23日 20:27:05更新在民歌曲谱频道中的内容,收录在民歌曲谱栏目中;曲谱查询网分享的欢乐歌声震山河_民歌简谱_词曲:严晓平 严晓简谱五线谱高清图片,欢迎在线免费下载;曲谱查询网无需注册,即可直接下载海量歌曲谱与乐器学习相关资料。
本文分享民歌谱 魅力鹤城(五线谱),由佟居平 佟居平 词/曲, 演唱,楠楠 编辑整理…《魅力鹤城》一歌,写于2011年10月7日,2012年2月14日《鹤城晚报》发表。齐齐哈尔市扎龙国家级自然保护区,总面积21万公顷,为亚洲第一、世界第四,也是世界最大的芦苇湿地,是中国首个国家级自然保护区,被列入中...
1667 魅力鹤城 佟居平本文分享民歌谱 大沙田的传说,由郑集思 崔臻和 词/曲,齐雅男 演唱,小武 编辑整理…《咸水谣》专辑是一张以广东中山大沙田地区的“咸水歌”为素材创作的岭南新民歌专辑,《大沙田的传说》是其中第12首歌曲。试听地址:http://www.wh3351.com/ylzx/wyshow.php?id=247...
537 大沙田的传说 郑集思 崔臻和齐雅男本文分享民歌谱 毛泽东之歌 (春桥词 卢肃曲),由春桥 卢肃 词/曲, 演唱,辛儿 编辑整理…这首歌曲出版于1948年06月,人民音乐社编...
1807 春桥 卢肃 毛泽东本文分享民歌谱 老歌,由建幸 应锡恩 词/曲,钱秀微 演唱,扬扬 编辑整理…《老歌》文本歌词《老歌》那些日子早已过去,时光的背影依旧清晰。想起来是那样深情,说起来是那样熟悉。岁月悠悠江河漫漫,流着昨天流着往昔。啊 一首首老歌一朵朵浪花,一首首老歌一朵朵浪花,仍然开在心中开在梦里。追...
1694 老歌 建幸 应锡恩钱秀微本文分享民歌谱 草原你好,由杜晓言 胡润华 词/曲,思雨 演唱,思翰 编辑整理…试听地址:http://yc.5sing.com/313441.html...
873 草原你好 杜晓言 胡润华思雨本文分享民歌谱 蓬勃的中国 和谐的中国(张建中词 梁恒杰曲),由张建中 梁恒杰 词/曲, 演唱,owen 编辑整理…...
1151 张建中 梁恒杰本文分享民歌谱 梦的苏州,由邹毅 李智 词/曲,刘媛媛 演唱,thomas 编辑整理…试听地址:http://yc.5sing.com/223075.html...
1955 梦的苏州 邹毅 李智刘媛媛| 留言与评论(共有 0 条评论) |
