




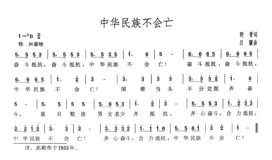
中华民族不会亡_民歌简谱_词曲:野青 吕骥简谱歌词是曲谱查询网于2023年01月01日 06:44:10更新在民歌曲谱频道中的内容,收录在民歌曲谱栏目中;曲谱查询网分享的中华民族不会亡_民歌简谱_词曲:野青 吕骥简谱五线谱高清图片,欢迎在线免费下载;曲谱查询网无需注册,即可直接下载海量歌曲谱与乐器学习相关资料。
曲谱查询网收录古今中外海量歌曲谱,如歌曲简谱、乐曲五线谱、PDF乐谱、戏曲谱、器乐相关资源下载等,欢迎查阅!





中华民族不会亡_民歌简谱_词曲:野青 吕骥简谱歌词是曲谱查询网于2023年01月01日 06:44:10更新在民歌曲谱频道中的内容,收录在民歌曲谱栏目中;曲谱查询网分享的中华民族不会亡_民歌简谱_词曲:野青 吕骥简谱五线谱高清图片,欢迎在线免费下载;曲谱查询网无需注册,即可直接下载海量歌曲谱与乐器学习相关资料。
本文分享民歌谱 誓做革命接班人(故事片《向阳院的故事》插曲),由集体 阎祝华 吴大明 词/曲, 演唱,星星 编辑整理…...
1376 誓做革命接班人 集体本文分享民歌谱 感动威海,由周诗萍 朱跃明 朱晓乐 词/曲,朱跃明 演唱,西瓜 编辑整理…2014年5月29日威海市区山林突发大火,危急关头,在市领导的正确指挥下,广大官兵和老百姓有秩序地灭火抢险,没有出现一人伤亡事件。涌现出一幕幕可歌可泣的感动画面,展示出我们威海人的高度文明和团结一心心手相牵,亲...
1837 感动威海 周诗萍 朱跃明本文分享民歌谱 你是中国人民的儿子(刘志毅词 尔宁曲),由刘志毅 尔宁 词/曲, 演唱,勤勤 编辑整理…...
219 你是中国人民的儿子 刘志毅 尔宁本文分享民歌谱 怀念母亲(毛乐平词 浅洋曲),由毛乐平 浅洋 词/曲, 演唱,小虾饺 编辑整理…《怀念母亲》文本歌词您给了我的生命,您温暖了儿女身心,您经历了人生风雨霜雪,没改变过您的宽厚和善心宽厚和善心啊 母亲敬爱的母亲,如今您匆匆离去,如今您匆匆离去,让我们不舍伤心难离伤心难离...
370 怀念母亲 毛乐平 浅洋本文分享民歌谱 今生为了你(邓永旺 曾祖标词 龙华云曲),由邓永旺 曾祖标 龙华云 词/曲, 演唱,皮皮 编辑整理…...
31 今生为了你 龙华云本文分享民歌谱 打麦歌(普米族民歌),由 词/曲, 演唱,颜颜 编辑整理…这是一首普米族民歌。普米族分布于中国云南兰坪、宁蒗、永胜、丽江、维西等县,与这一带的纳西、白、傈僳族交错而居,人口近3万。普米族传统民歌习惯上分为“哩”(习俗歌)、“迪”(山歌)、“落别里”(劳动歌)和“国”(小调)等四种体...
1960 打麦歌| 留言与评论(共有 0 条评论) |
