
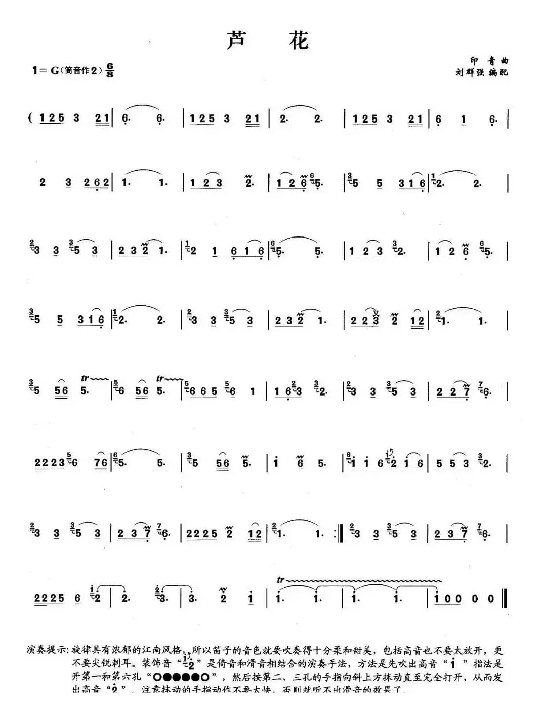
笛子谱 | 芦花 印青曲 刘群强简谱歌词是曲谱查询网于2023年08月05日 05:45:57更新在笛子谱频道中的内容,收录在笛子谱栏目中;曲谱查询网分享的笛子谱 | 芦花 印青曲 刘群强简谱五线谱高清图片,欢迎在线免费下载;曲谱查询网无需注册,即可直接下载海量歌曲谱与乐器学习相关资料。
曲谱查询网收录古今中外海量歌曲谱,如歌曲简谱、乐曲五线谱、PDF乐谱、戏曲谱、器乐相关资源下载等,欢迎查阅!

笛子谱 | 芦花 印青曲 刘群强简谱歌词是曲谱查询网于2023年08月05日 05:45:57更新在笛子谱频道中的内容,收录在笛子谱栏目中;曲谱查询网分享的笛子谱 | 芦花 印青曲 刘群强简谱五线谱高清图片,欢迎在线免费下载;曲谱查询网无需注册,即可直接下载海量歌曲谱与乐器学习相关资料。
本文分享笛箫乐谱 喜看丰收景(钢琴伴奏谱),来源 《曲谱查询网》, 简广易 李秀琪曲 张维良配伴奏 词/曲, 演奏/唱,旭旭 编辑整理…...
1862 竹笛谱 笛子乐谱 喜看丰收景本文分享笛箫乐谱 梅花三弄(孙学建改编版、二重奏),来源 《曲谱查询网》, 孙学建改编 词/曲, 演奏/唱,小臾 编辑整理…...
531 竹笛谱 笛子乐谱 梅花三弄 孙学建改编本文分享笛箫乐谱 花泣(钢琴伴奏谱),来源 《曲谱查询网》, 张维良曲 张维良配伴奏 词/曲, 演奏/唱,西瓜 编辑整理…...
2495 竹笛谱 笛子乐谱 花泣本文分享笛箫乐谱 凤阳歌绞八板,来源 《曲谱查询网》, 山东民间乐曲 词/曲, 演奏/唱,小涛 编辑整理…...
906 竹笛谱 笛子乐谱 凤阳歌绞八板 山东民间乐曲| 留言与评论(共有 0 条评论) |
