
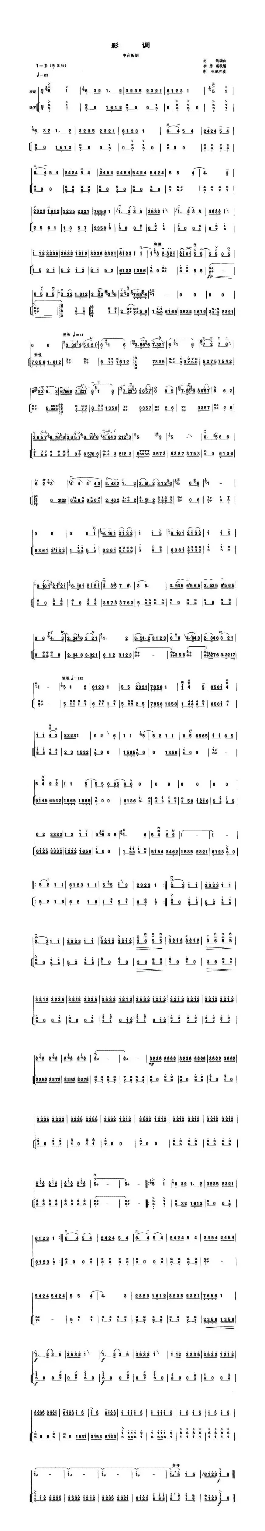
影调(中音板胡 扬琴伴奏谱)刘钧简谱歌词是曲谱查询网于2023年08月05日 22:20:21更新在板胡谱频道中的内容,收录在板胡谱栏目中;曲谱查询网分享的影调(中音板胡 扬琴伴奏谱)刘钧简谱五线谱高清图片,欢迎在线免费下载;曲谱查询网无需注册,即可直接下载海量歌曲谱与乐器学习相关资料。
曲谱查询网收录古今中外海量歌曲谱,如歌曲简谱、乐曲五线谱、PDF乐谱、戏曲谱、器乐相关资源下载等,欢迎查阅!

影调(中音板胡 扬琴伴奏谱)刘钧简谱歌词是曲谱查询网于2023年08月05日 22:20:21更新在板胡谱频道中的内容,收录在板胡谱栏目中;曲谱查询网分享的影调(中音板胡 扬琴伴奏谱)刘钧简谱五线谱高清图片,欢迎在线免费下载;曲谱查询网无需注册,即可直接下载海量歌曲谱与乐器学习相关资料。
本文分享胡琴乐谱 庆丰收(高音板胡、扬琴伴奏谱),来源 转自《乐谱库》, 谷达儒 词/曲, 演奏/唱,棒棒糖 编辑整理…...
912 二胡谱 二胡乐谱 庆丰收 谷达儒本文分享胡琴乐谱 樱花,樱花(中音板胡、刘明源改编版),来源 自《乐谱库》, 刘明源改编 词/曲, 演奏/唱,小雨 编辑整理…...
1458 二胡谱 二胡乐谱 樱花 刘明源改编本文分享胡琴乐谱 纺线线(高音板胡、扬琴伴奏谱),来源 转自《乐谱库》, 刘明源 词/曲, 演奏/唱,岚岚 编辑整理…...
1760 二胡谱 二胡乐谱 纺线线 刘明源| 留言与评论(共有 0 条评论) |
