
笛子谱 | 清泉话喜讯 曲祥简谱歌词是曲谱查询网于2023年08月06日 01:49:37更新在笛子谱频道中的内容,收录在笛子谱栏目中;曲谱查询网分享的笛子谱 | 清泉话喜讯 曲祥简谱五线谱高清图片,欢迎在线免费下载;曲谱查询网无需注册,即可直接下载海量歌曲谱与乐器学习相关资料。
曲谱查询网收录古今中外海量歌曲谱,如歌曲简谱、乐曲五线谱、PDF乐谱、戏曲谱、器乐相关资源下载等,欢迎查阅!

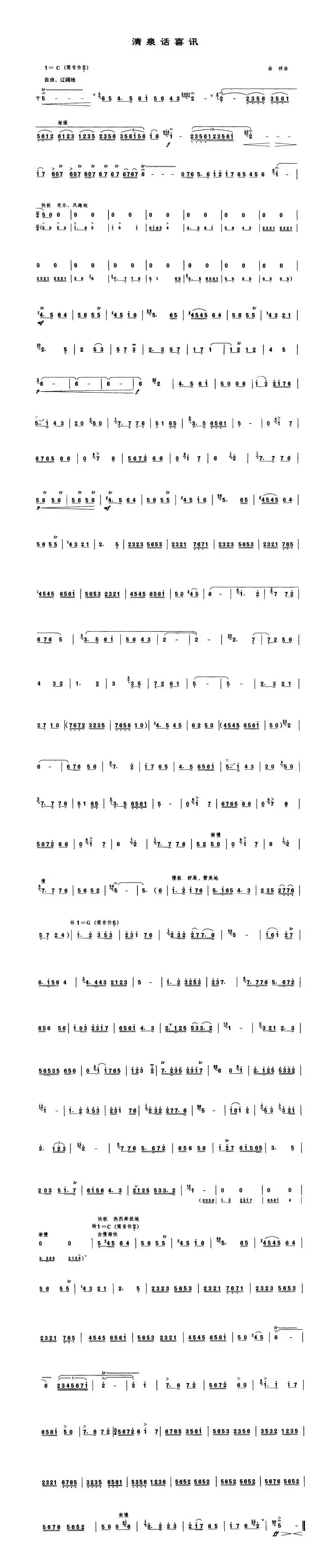
笛子谱 | 清泉话喜讯 曲祥简谱歌词是曲谱查询网于2023年08月06日 01:49:37更新在笛子谱频道中的内容,收录在笛子谱栏目中;曲谱查询网分享的笛子谱 | 清泉话喜讯 曲祥简谱五线谱高清图片,欢迎在线免费下载;曲谱查询网无需注册,即可直接下载海量歌曲谱与乐器学习相关资料。
本文分享笛箫乐谱 红领巾列车奔向北京(手风琴伴奏谱),来源 转自《乐谱库》, 词/曲, 演奏/唱,都都 编辑整理…...
1989 竹笛谱 笛子乐谱 红领巾列车奔向北京本文分享笛箫乐谱 水乡丰收人欢畅,来源 转自《乐谱库》, 宁宝生 词/曲, 演奏/唱,小丰宁 编辑整理…此由作于1981年。乐曲具有江南民歌风格,表现水乡喜获丰收,人们兴高采烈的心情。...
149 竹笛谱 笛子乐谱 水乡丰收人欢畅 宁宝生本文分享笛箫乐谱 我爱北京天安门(刘群强编配版),来源 《曲谱查询网》, 金月苓 词/曲, 演奏/唱,包包 编辑整理…...
438 竹笛谱 笛子乐谱 我爱北京天安门 金月苓本文分享笛箫乐谱 麦收时节(李书元作曲版),来源 谱友jingfu 扫描上传, 词/曲,吴坚 演奏/唱,京京 编辑整理…...
95 竹笛谱 笛子乐谱 麦收时节 吴坚| 留言与评论(共有 0 条评论) |
