














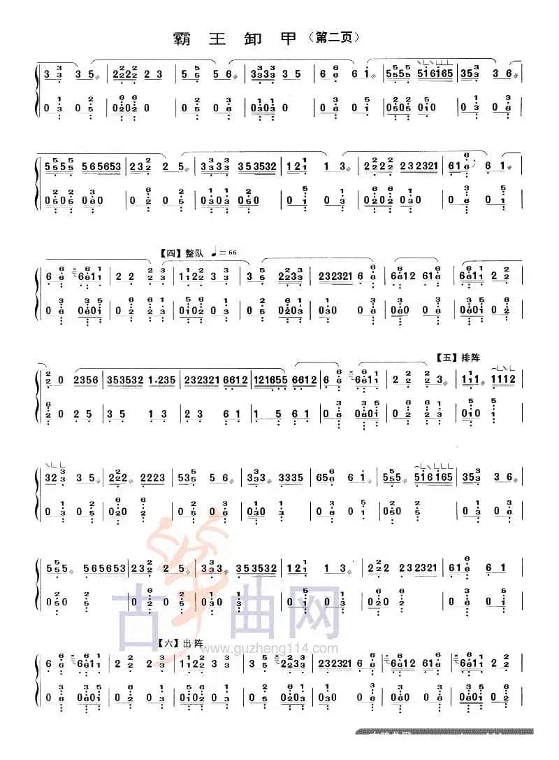
古筝谱 | 霸王卸甲 项斯华 订谱简谱歌词是曲谱查询网于2023年08月07日 17:35:19更新在古筝谱频道中的内容,收录在古筝谱栏目中;曲谱查询网分享的古筝谱 | 霸王卸甲 项斯华 订谱简谱五线谱高清图片,欢迎在线免费下载;曲谱查询网无需注册,即可直接下载海量歌曲谱与乐器学习相关资料。
曲谱查询网收录古今中外海量歌曲谱,如歌曲简谱、乐曲五线谱、PDF乐谱、戏曲谱、器乐相关资源下载等,欢迎查阅!















古筝谱 | 霸王卸甲 项斯华 订谱简谱歌词是曲谱查询网于2023年08月07日 17:35:19更新在古筝谱频道中的内容,收录在古筝谱栏目中;曲谱查询网分享的古筝谱 | 霸王卸甲 项斯华 订谱简谱五线谱高清图片,欢迎在线免费下载;曲谱查询网无需注册,即可直接下载海量歌曲谱与乐器学习相关资料。
本文分享古筝古琴乐谱 樱花(【上海筝会】考级五级曲目),来源 转自《古筝曲网》, 词/曲, 演奏/唱,淘气 编辑整理…...
2079 古筝谱 古筝乐谱 樱花本文分享古筝古琴乐谱 古筝练习:绕指练习(4),来源 转自《中国古筝网》, 词/曲, 演奏/唱,斐斐 编辑整理…...
1252 古筝谱 古筝乐谱 古筝练习 绕指练习本文分享古筝古琴乐谱 欢乐拳(黄梅改编版),来源 曲谱查询网, 词/曲, 演奏/唱,阿寒 编辑整理…选自(黄梅编著的《云南风:古筝曲集》)...
1609 古筝谱 古筝乐谱 欢乐拳本文分享古筝古琴乐谱 八街山歌调(黄梅改编版),来源 曲谱查询网, 词/曲, 演奏/唱,小润颖 编辑整理…选自(黄梅编著的《云南风:古筝曲集》)...
1842 古筝谱 古筝乐谱 八街山歌调| 留言与评论(共有 0 条评论) |
