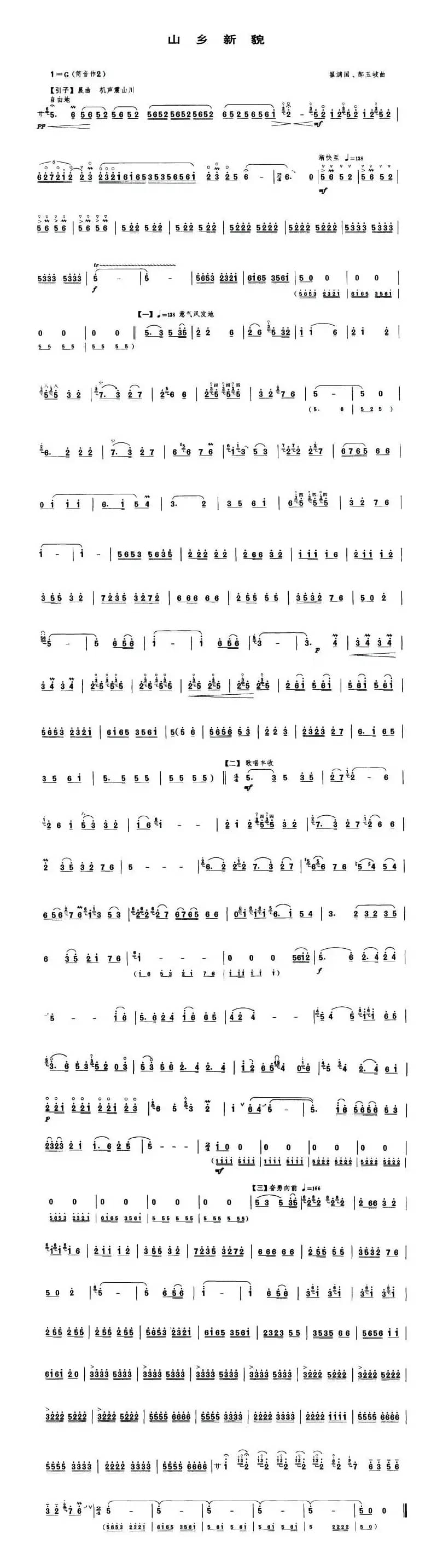
此曲原名《大寨田里驾铁牛》,曾于1972年由人民音乐出版社出版活页乐谱。80年代初更名为《丰收田里驾铁牛》,同时去掉了原谱再现段中“学大寨”的音调。1992年在河南人民出版社出版的《郝玉岐唢呐曲集》中,作者改为现在的曲名。

山乡新貌(唢呐谱)简谱歌词是曲谱查询网于2023年08月10日 03:33:25更新在唢呐谱频道中的内容,收录在唢呐谱栏目中;曲谱查询网分享的山乡新貌(唢呐谱)简谱五线谱高清图片,欢迎在线免费下载;曲谱查询网无需注册,即可直接下载海量歌曲谱与乐器学习相关资料。
曲谱查询网收录古今中外海量歌曲谱,如歌曲简谱、乐曲五线谱、PDF乐谱、戏曲谱、器乐相关资源下载等,欢迎查阅!
此曲原名《大寨田里驾铁牛》,曾于1972年由人民音乐出版社出版活页乐谱。80年代初更名为《丰收田里驾铁牛》,同时去掉了原谱再现段中“学大寨”的音调。1992年在河南人民出版社出版的《郝玉岐唢呐曲集》中,作者改为现在的曲名。

山乡新貌(唢呐谱)简谱歌词是曲谱查询网于2023年08月10日 03:33:25更新在唢呐谱频道中的内容,收录在唢呐谱栏目中;曲谱查询网分享的山乡新貌(唢呐谱)简谱五线谱高清图片,欢迎在线免费下载;曲谱查询网无需注册,即可直接下载海量歌曲谱与乐器学习相关资料。
| 留言与评论(共有 0 条评论) |