名称:红姻缘 人民英雄 原 红姻缘 秋艳
国家:中国
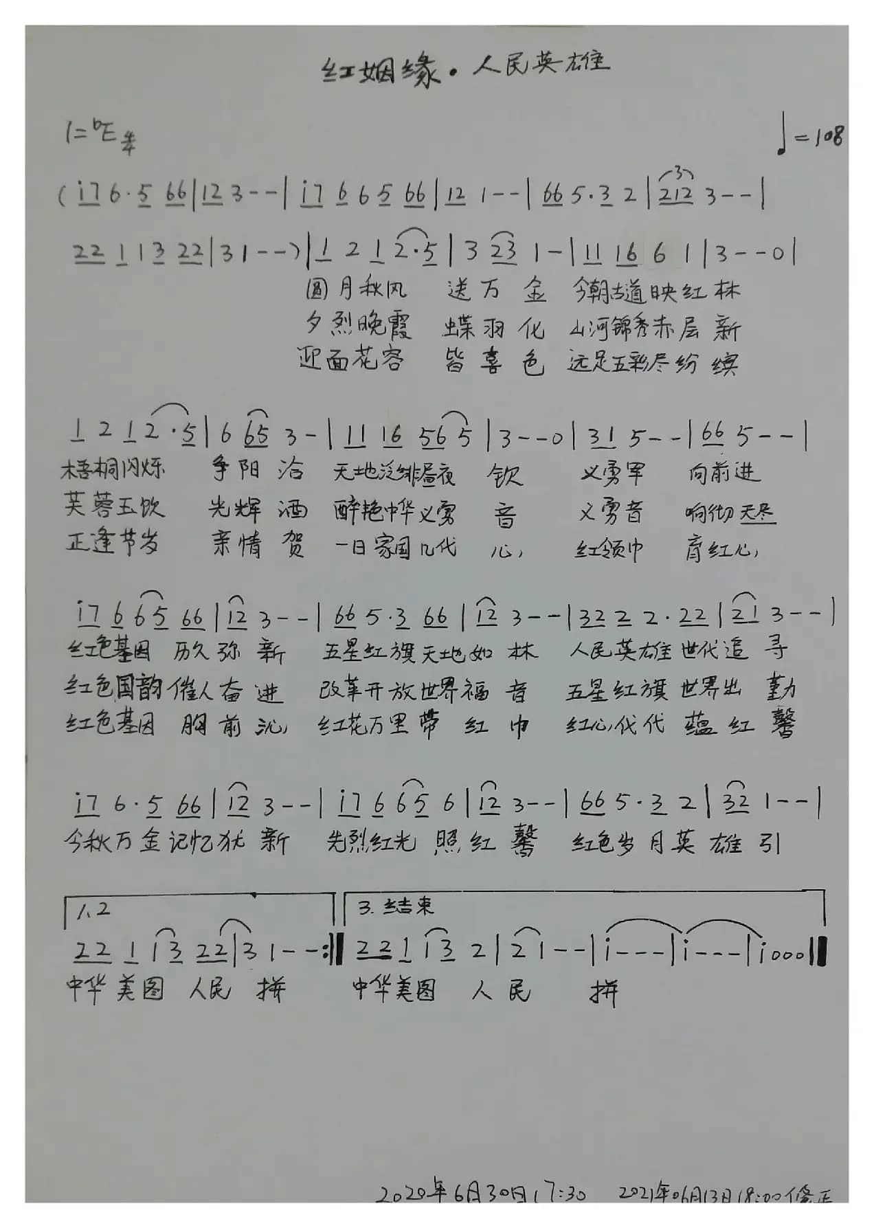
作词:魏炽岗
作曲:魏炽岗
分类:曲谱
子类:投稿
类型:简谱/五线谱
文件格式:jpg
曲谱(原名《红姻缘·秋艳》)根据歌词大意,于2020年6月30日创作完成。主要反映新时代传承红色基因,牢记初心使命,铸牢人民群众路线,讴歌人民是时代的真正英雄思想意识形态。已有时间戳认证登记。 。
原创作者微信:18759880163
(欢迎大家进一步分享、转发、宣传!)



曲谱投稿分享,共创平台,展示才华
名称:红姻缘 人民英雄 原 红姻缘 秋艳
国家:中国
作词:魏炽岗
作曲:魏炽岗
分类:曲谱
子类:投稿
类型:简谱/五线谱
文件格式:jpg
曲谱(原名《红姻缘·秋艳》)根据歌词大意,于2020年6月30日创作完成。主要反映新时代传承红色基因,牢记初心使命,铸牢人民群众路线,讴歌人民是时代的真正英雄思想意识形态。已有时间戳认证登记。 。
原创作者微信:18759880163
(欢迎大家进一步分享、转发、宣传!)


