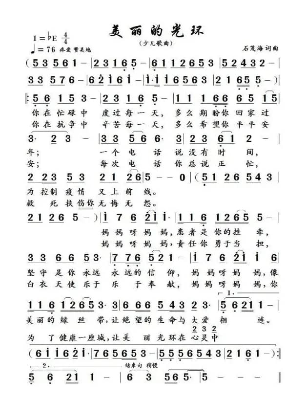
歌颂白衣战士在冠状病毒肆虐中华大地,威胁百姓生命的时候,白衣天使不顾个人安危,告别亲人奋力冲向灾区的感人故事,孩子想你妈妈,赞美着祝福着妈妈......

美丽的光环_歌谱投稿_词曲:石茂海 石茂海简谱歌词是曲谱查询网于2023年04月15日 04:44:31更新在曲谱投稿频道中的内容,收录在曲谱投稿栏目中;曲谱查询网分享的美丽的光环_歌谱投稿_词曲:石茂海 石茂海简谱五线谱高清图片,欢迎在线免费下载;曲谱查询网无需注册,即可直接下载海量歌曲谱与乐器学习相关资料。
曲谱查询网收录古今中外海量歌曲谱,如歌曲简谱、乐曲五线谱、PDF乐谱、戏曲谱、器乐相关资源下载等,欢迎查阅!
歌颂白衣战士在冠状病毒肆虐中华大地,威胁百姓生命的时候,白衣天使不顾个人安危,告别亲人奋力冲向灾区的感人故事,孩子想你妈妈,赞美着祝福着妈妈......

美丽的光环_歌谱投稿_词曲:石茂海 石茂海简谱歌词是曲谱查询网于2023年04月15日 04:44:31更新在曲谱投稿频道中的内容,收录在曲谱投稿栏目中;曲谱查询网分享的美丽的光环_歌谱投稿_词曲:石茂海 石茂海简谱五线谱高清图片,欢迎在线免费下载;曲谱查询网无需注册,即可直接下载海量歌曲谱与乐器学习相关资料。
本文分享来自 清闲人HXH 的歌谱 养儿方知父母苦 ,词/曲 清闲人 清闲人,演唱 …欢迎免费下载养儿方知父母苦 乐谱、乐曲、伴奏,《养儿方知父母苦 》文本歌词养儿方知父母苦自从婚后生了娃,小日子就开始忙碌啦,喂饭喂奶洗衣服,忙里忙外无闲暇,半夜三更不入眠,鸡还未叫又起床了,累得腰酸背又困,每...
566 养儿方知父母苦 清闲人本文分享来自 奔跑的小鹿Y 的歌谱 最可爱的人(电影《长津湖》主题曲),词/曲 清彦 刘兆伦,演唱 张靓颖…欢迎免费下载最可爱的人(电影《长津湖》主题曲)乐谱、乐曲、伴奏,...
20 最可爱的人 清彦 刘兆伦 张靓颖本文分享来自 高音教 的歌谱 《体面》吉他谱C调入门版 于文文 高音教编配 猴哥吉他教学,词/曲 ,演唱 …欢迎免费下载《体面》吉他谱C调入门版 于文文 高音教编配 猴哥吉他教学乐谱、乐曲、伴奏,...
262本文展示由乐友sunzp 制谱上传|记谱的歌谱 美丽的鹭岛(重唱),词/曲 ,演唱 …欢迎免费试听美丽的鹭岛(重唱)乐曲,下载歌曲的乐谱与伴奏。...
698 美丽的鹭岛本文分享来自 大连家乡好 的歌谱 斯拉夫送行曲Прощание Славянки(中俄简谱),词/曲 阿•菲多托夫 瓦•阿伽普庚,演唱 中俄字幕红旗歌舞团演唱…欢迎免费下载斯拉夫送行曲Прощание Славянки(中俄简谱)乐谱、乐曲、伴奏,...
13 阿•菲多托夫 瓦•阿伽普庚 中俄字幕红旗歌舞团演唱本文分享来自 李戈 的歌谱 送你一朵映山红,词/曲 陈特明 李戈,演唱 …欢迎免费下载送你一朵映山红乐谱、乐曲、伴奏,...
407 送你一朵映山红 陈特明 李戈本文分享来自 闲不住的60 的歌谱 一壶老酒(二胡独奏曲),词/曲 陆树铭 陆树铭,演唱 …欢迎免费下载一壶老酒(二胡独奏曲)乐谱、乐曲、伴奏,...
597 一壶老酒 陆树铭本文分享来自 dsy 的歌谱 人民海军血性担当,词/曲 陈守刚 笪斯勇,演唱 …欢迎免费下载人民海军血性担当乐谱、乐曲、伴奏,...
53 人民海军血性担当 陈守刚 笪斯勇本文分享来自 ~金沙浪~ 的歌谱 农民老大哥,词/曲 章飞一绝 孟文豪,演唱 朱之文…欢迎免费下载农民老大哥乐谱、乐曲、伴奏,...
846 农民老大哥 章飞一绝 孟文豪 朱之文本文展示由制谱记谱的歌谱 高原,我的家(流行版简谱),词/曲 韩文英 崔文玉,演唱 不详…欢迎免费试听高原,我的家(流行版简谱)乐曲,下载歌曲的乐谱与伴奏。...
715 高原 我的家 韩文英 崔文玉本文分享来自 常青老柏 的歌谱 洪湖岸边是我家,词/曲 贺沛轩 王原平,演唱 …欢迎免费下载洪湖岸边是我家乐谱、乐曲、伴奏,...
249 洪湖岸边是我家 贺沛轩 王原平本文分享来自 ~金沙浪~ 的歌谱 笑就笑到最后(电视剧《山里红》片尾曲),词/曲 车行 郭晓天,演唱 横越…欢迎免费下载笑就笑到最后(电视剧《山里红》片尾曲)乐谱、乐曲、伴奏,...
262 笑就笑到最后 车行 郭晓天 横越本文分享来自 热爱音乐88 的歌谱 汉口之歌,词/曲 邓祥安 邓祥安,演唱 韩磊…欢迎免费下载汉口之歌乐谱、乐曲、伴奏,...
562 汉口之歌 邓祥安 韩磊本文展示由爱乐 制谱上传记谱的歌谱 红歌中国行(线、简谱混排版),词/曲 朱海 刘青,演唱 丁晓红…欢迎免费试听红歌中国行(线、简谱混排版)乐曲,下载歌曲的乐谱与伴奏。歌词有待核实。试听网址:http://yc.5sing.com/740086.html...
757 红歌中国行 朱海 刘青丁晓红| 留言与评论(共有 0 条评论) |
