
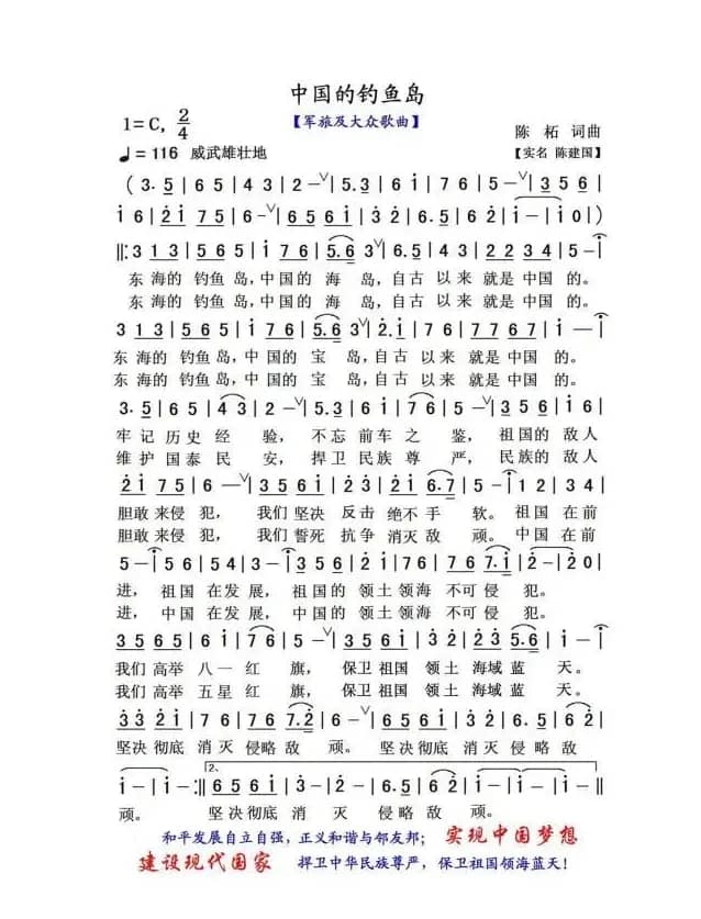
中国的钓鱼岛_歌谱投稿_词曲:陈柘 陈柘简谱歌词是曲谱查询网于2023年04月22日 22:15:17更新在曲谱投稿频道中的内容,收录在曲谱投稿栏目中;曲谱查询网分享的中国的钓鱼岛_歌谱投稿_词曲:陈柘 陈柘简谱五线谱高清图片,欢迎在线免费下载;曲谱查询网无需注册,即可直接下载海量歌曲谱与乐器学习相关资料。
曲谱查询网收录古今中外海量歌曲谱,如歌曲简谱、乐曲五线谱、PDF乐谱、戏曲谱、器乐相关资源下载等,欢迎查阅!

中国的钓鱼岛_歌谱投稿_词曲:陈柘 陈柘简谱歌词是曲谱查询网于2023年04月22日 22:15:17更新在曲谱投稿频道中的内容,收录在曲谱投稿栏目中;曲谱查询网分享的中国的钓鱼岛_歌谱投稿_词曲:陈柘 陈柘简谱五线谱高清图片,欢迎在线免费下载;曲谱查询网无需注册,即可直接下载海量歌曲谱与乐器学习相关资料。
本文展示由秋叶起舞 记谱上传记谱的歌谱 吹不散这点点愁(电视剧《西游记》插曲),词/曲 阎肃 许镜清,演唱 丁小青…欢迎免费试听吹不散这点点愁(电视剧《西游记》插曲)乐曲,下载歌曲的乐谱与伴奏。...
467 吹不散这点点愁 阎肃 许镜清 丁小青本文展示由爱乐 制谱上传记谱的歌谱 你是雄鹰我是翅膀,词/曲 ,演唱 门丽…欢迎免费试听你是雄鹰我是翅膀乐曲,下载歌曲的乐谱与伴奏。试听地址:http://ent.cn.yahoo.com/ypen/20110916/592045.htmlhttp://www.446655.com/Play/n...
421 你是雄鹰我是翅膀门丽本文分享来自 降魔的 的歌谱 隔壁泰山(阿里郎),词/曲 崔金水、美罗 美罗、权赫,演唱 阿里郎…欢迎免费下载隔壁泰山(阿里郎)乐谱、乐曲、伴奏,我是隔壁的泰山抓住爱情的藤蔓,是歌曲隔壁泰山的一句歌词,超级洗脑。而隔壁泰山片段双手简谱是网友提供的,由网友柚子kelly制作!此曲堪称抖音又一神曲,就是...
490 隔壁泰山 阿里郎本文展示由抄录记谱的歌谱 《沙桥饯别》提龙笔写牒文大唐国号(京剧《沙桥饯别》选段、京胡谱),词/曲 ,演唱 …欢迎免费试听《沙桥饯别》提龙笔写牒文大唐国号(京剧《沙桥饯别》选段、京胡谱)乐曲,下载歌曲的乐谱与伴奏。...
340 沙桥饯别提龙笔写牒文大唐国号本文分享来自 吉星照 的歌谱 想你的时候问月亮,词/曲 党名毅一只舟 一只舟,演唱 雨中百合…欢迎免费下载想你的时候问月亮乐谱、乐曲、伴奏,...
259 想你的时候问月亮 党名毅一只舟 一只舟 雨中百合本文分享来自 迪兰特 的歌谱 山僧(小曲儿《十念》专辑曲目),词/曲 贰哲 Winky诗,演唱 小曲儿…欢迎免费下载山僧(小曲儿《十念》专辑曲目)乐谱、乐曲、伴奏,世传山有梵音钟鼓,朝暮可闻僧侣诵吟,久之,佛理孕之为灵。时问佛法于客,然,无一可答卷中之所言。遂旅于山间竹径,逢迷途不知所往者,予以其路...
410 山僧 贰哲 winky诗 小曲儿本文展示由桃李醉春风记谱记谱的歌谱 梨花满天开,词/曲 周艳泓 韩雷,演唱 周艳泓…欢迎免费试听梨花满天开乐曲,下载歌曲的乐谱与伴奏。《梨花满天开》文本歌词《梨花满天开》作词:周艳泓作曲:韩雷演唱:周艳泓小河边梨花悄悄开放当微风吹过满天飘香忽然又想起离别景象昨日恍若梦一场小桥下我们约定了方向明年我就...
542 梨花满天开 周艳泓 韩雷本文分享来自 慧海菩提 的歌谱 镜中人,词/曲 冯云飞 冯云飞,演唱 王芳…欢迎免费下载镜中人乐谱、乐曲、伴奏,王芳老师找人听音记谱MP3试听:https://y.qq.com/n/ryqq/songDetail/003X8Bi50TG8Cn《镜中人》文本歌词镜中人作词:冯云飞作曲:冯云飞演...
669 镜中人 冯云飞 王芳本文分享来自 ~金沙浪~ 的歌谱 寰宇心声(TVB《碧血黄花》插曲),词/曲 ,演唱 罗文…欢迎免费下载寰宇心声(TVB《碧血黄花》插曲)乐谱、乐曲、伴奏,...
942 寰宇心声 罗文本文展示由桃李醉春风记谱记谱的歌谱 放下所有放不下你,词/曲 祁隆 祁隆,演唱 祁隆…欢迎免费试听放下所有放不下你乐曲,下载歌曲的乐谱与伴奏。...
573 放下所有放不下你 祁隆 祁隆祁隆本文分享来自 暗格子 的歌谱 [日]爱し子よ(亲爱的宝贝),词/曲 Rurutia Rurutia,演唱 Rurutia…欢迎免费下载[日]爱し子よ(亲爱的宝贝)乐谱、乐曲、伴奏,...
320 [日]爱し子よ Rurutia| 留言与评论(共有 0 条评论) |
