
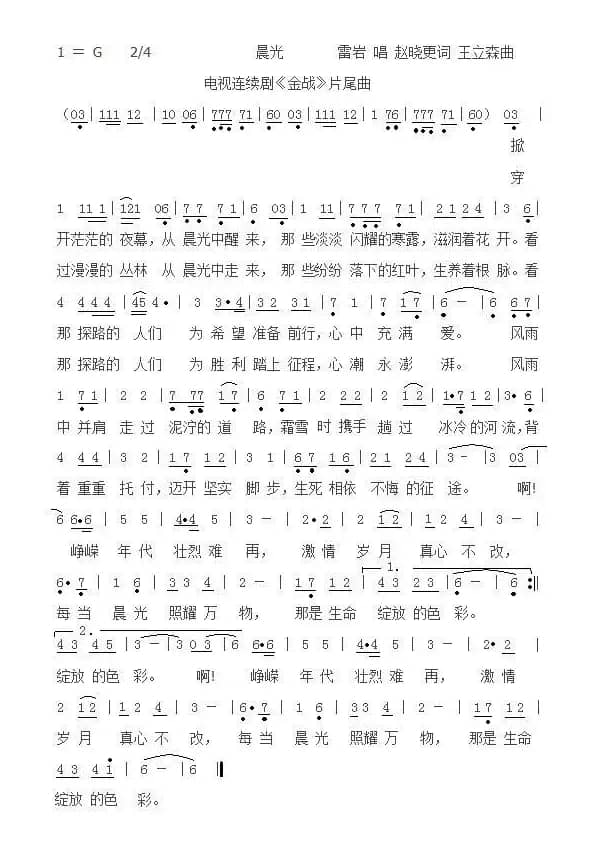
晨光_歌谱投稿_词曲:赵晓更 王立森简谱歌词是曲谱查询网于2023年04月28日 17:44:04更新在曲谱投稿频道中的内容,收录在曲谱投稿栏目中;曲谱查询网分享的晨光_歌谱投稿_词曲:赵晓更 王立森简谱五线谱高清图片,欢迎在线免费下载;曲谱查询网无需注册,即可直接下载海量歌曲谱与乐器学习相关资料。
曲谱查询网收录古今中外海量歌曲谱,如歌曲简谱、乐曲五线谱、PDF乐谱、戏曲谱、器乐相关资源下载等,欢迎查阅!

晨光_歌谱投稿_词曲:赵晓更 王立森简谱歌词是曲谱查询网于2023年04月28日 17:44:04更新在曲谱投稿频道中的内容,收录在曲谱投稿栏目中;曲谱查询网分享的晨光_歌谱投稿_词曲:赵晓更 王立森简谱五线谱高清图片,欢迎在线免费下载;曲谱查询网无需注册,即可直接下载海量歌曲谱与乐器学习相关资料。
本文分享来自 默子 的歌谱 易燃易爆炸,词/曲 尚梦迪 骈然 陈粒,演唱 陈粒…欢迎免费下载易燃易爆炸乐谱、乐曲、伴奏,《易燃易爆炸》文本歌词抖音陈粒 易燃易爆炸《易燃易爆炸》作词:尚梦迪 骈然作曲:陈粒演唱:陈粒 冯提莫制谱:孙世彦盼我疯魔,还盼我孑孓不独活,想我冷艳,还想我轻佻又下贱,要我阳光,...
365 易燃易爆炸 陈粒本文展示由神仙姐姐记谱记谱的歌谱 会受伤的人只有一种可能,词/曲 ,演唱 六哲…欢迎免费试听会受伤的人只有一种可能乐曲,下载歌曲的乐谱与伴奏。...
824 会受伤的人只有一种可能六哲本文分享来自 李永雄作曲家 的歌谱 成功双手创(成功双手创),词/曲 李永雄 李永雄,演唱 李永雄…欢迎免费下载成功双手创(成功双手创)乐谱、乐曲、伴奏,...
593 成功双手创 李永雄本文展示由桃李醉春风记谱记谱的歌谱 爱无悔伤无悔,词/曲 堪心 泰山,演唱 晨熙…欢迎免费试听爱无悔伤无悔乐曲,下载歌曲的乐谱与伴奏。《爱无悔伤无悔》文本歌词爱无悔伤无悔作词:堪心作曲:泰山演唱:晨熙语种:国语专辑:《2012的爱情》发行:2010年8月30日发行公司:艺扬唱片LRC编辑:白開水.U...
591 爱无悔伤无悔 堪心 泰山晨熙本文展示由天恩记谱记谱的歌谱 飞鸟各投林(【红楼梦】片尾曲),词/曲 曹雪芹 郭思达、杜威,演唱 林申…欢迎免费试听飞鸟各投林(【红楼梦】片尾曲)乐曲,下载歌曲的乐谱与伴奏。...
323 飞鸟各投林 曹雪芹 郭思达 杜威林申本文分享来自 春天LJ319 的歌谱 新时代畅想曲,词/曲 李荫保 吕永新,演唱 段艳霞…欢迎免费下载新时代畅想曲乐谱、乐曲、伴奏,...
352 新时代畅想曲 李荫保 吕永新 段艳霞本文分享来自 乐来兮 的歌谱 党旗飘飘---梦之旅重唱,词/曲 陈貌 印青,演唱 梦之旅组合…欢迎免费下载党旗飘飘---梦之旅重唱乐谱、乐曲、伴奏,...
987 陈貌 印青 梦之旅组合本文分享来自 他山石 的歌谱 爱恨追根只为一人,词/曲 邓瞻思远 木易晓旭,演唱 …欢迎免费下载爱恨追根只为一人乐谱、乐曲、伴奏,...
871 爱恨追根只为一人 邓瞻思远 木易晓旭本文分享来自 袁浩201666 的歌谱 人民子弟兵 中华好儿女(---献给抗毒前线的子弟兵),词/曲 袁浩 袁浩,演唱 …欢迎免费下载人民子弟兵 中华好儿女(---献给抗毒前线的子弟兵)乐谱、乐曲、伴奏,...
453 袁浩本文展示由E网音乐教室记谱的歌谱 自由飞翔,词/曲 张超 张超,演唱 凤凰传奇…欢迎免费试听自由飞翔乐曲,下载歌曲的乐谱与伴奏。http://www.chaodikong.com/article/2007/1113/4983.html...
432 自由飞翔 张超 凤凰传奇本文分享来自 默子 的歌谱 小幸运(徐世珍 吴辉福词 JerryC曲),词/曲 徐世珍 吴辉福 JerryC,演唱 田馥甄…欢迎免费下载小幸运(徐世珍 吴辉福词 JerryC曲)乐谱、乐曲、伴奏,《小幸运》文本歌词小幸运 徐世珍 吴辉福词 JerryC曲...
573 小幸运 JerryC 田馥甄本文展示由瓦莲金娜 抄谱上传记谱的歌谱 [乌克兰] 我心潮澎湃,词/曲 ,演唱 …欢迎免费试听[乌克兰] 我心潮澎湃乐曲,下载歌曲的乐谱与伴奏。...
686本文展示由制谱记谱的歌谱 科罗拉多河上月光明朗(美国牛仔歌),词/曲 艾里埃词曲 孔仞千译配,演唱 洞箫横吹组合…欢迎免费试听科罗拉多河上月光明朗(美国牛仔歌)乐曲,下载歌曲的乐谱与伴奏。...
878 科罗拉多河上月光明朗 艾里埃词曲 孔仞千译配洞箫横吹组合| 留言与评论(共有 0 条评论) |
