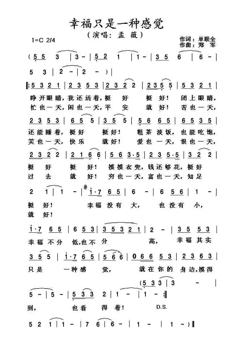
名称:幸福只是一种感觉 电视剧 知足常乐 片尾曲
艺术家:孟薇
国家:中国
作词:单联全
作曲:郑军
演唱:孟薇
分类:曲谱
子类:投稿
类型:简谱/五线谱
文件格式:jpg

《幸福只是一种感觉》文本歌词
作词:单联全
作曲:郑军
演唱:孟薇
睁开眼睛
我还活着
挺好挺好
闭上眼睛
还能睡着
挺好挺好
粗茶淡饭
也能吃饱
挺好挺好
摸摸衣兜
钱还够花
挺好挺好
幸福没有大
也没有小
幸福不分低
也不分高
幸福其实只是
一种感觉
就在你的身边
摸得到
也看得着
忙也一天
闲也一天
平安就好
苦也一天
笑也一天
快乐就好
爱也一天
恨也一天
过去就好
穷也一天
富也一天
知足就好
幸福没有大
也没有小
幸福不分低
也不分高
幸福其实只是
一种感觉
就在你的身边
摸得到
也看得着
幸福没有大
也没有小
幸福不分低
也不分高
幸福其实只是
一种感觉
就在你的身边
摸得到
也看得着


