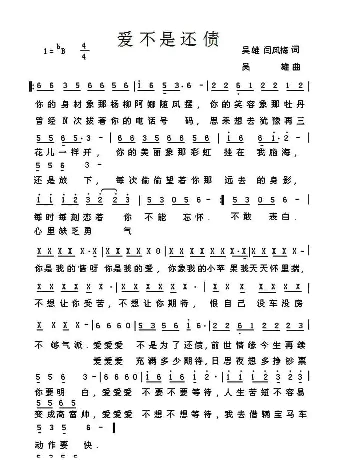
名称:爱不是还债
艺术家:闫凤梅
国家:中国
作词:闫凤梅 吴雄
作曲:吴雄
演唱:闫凤梅
分类:声乐谱
子类:通俗唱法歌谱
类型:简谱/五线谱
文件格式:jpg

《爱不是还债》文本歌词
爱不是还债
你的身材象那杨柳阿娜随风摆
你的笑容象那牡丹花儿一样开
你的美丽象那彩虹挂在我脑海
每时每刻恋着你不能忘怀
曾经N次拨着你的电话号码
思来想去犹豫再三还是放下
每次偷偷望着你那远去的身影
心里缺乏勇气不敢表白
爱爱爱不是不是还债
前世情缘今生再续你要明白
爱爱爱不要不要等待
人生苦短不容易动作要快
爱爱爱充满充满期待
抓紧时间多挣钞票为成高富帅
爱爱爱你要你要等待
我会开着宝马车把你娶回来
RAP:
你的身材象那杨柳阿娜随风摆
你的笑容象那牡丹花儿一样开
你的美丽象那彩虹挂在我脑海
每时每刻恋着你不能忘怀
你是我的情呀你是我的爱
你象我的小苹果我天天怀里揣
不想让你受苦
不想让你期待
恨自己没车没房不够气派。












