
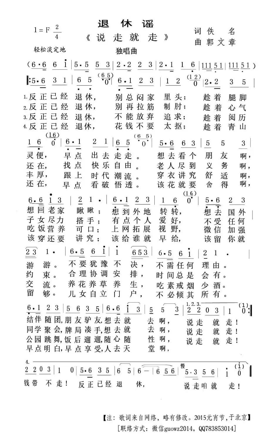
退休谣·说走就走_通俗唱法乐谱_词曲: 郭文章简谱歌词是曲谱查询网于2023年06月07日 07:02:19更新在通俗歌曲谱频道中的内容,收录在通俗歌曲谱栏目中;曲谱查询网分享的退休谣·说走就走_通俗唱法乐谱_词曲: 郭文章简谱五线谱高清图片,欢迎在线免费下载;曲谱查询网无需注册,即可直接下载海量歌曲谱与乐器学习相关资料。
曲谱查询网收录古今中外海量歌曲谱,如歌曲简谱、乐曲五线谱、PDF乐谱、戏曲谱、器乐相关资源下载等,欢迎查阅!

退休谣·说走就走_通俗唱法乐谱_词曲: 郭文章简谱歌词是曲谱查询网于2023年06月07日 07:02:19更新在通俗歌曲谱频道中的内容,收录在通俗歌曲谱栏目中;曲谱查询网分享的退休谣·说走就走_通俗唱法乐谱_词曲: 郭文章简谱五线谱高清图片,欢迎在线免费下载;曲谱查询网无需注册,即可直接下载海量歌曲谱与乐器学习相关资料。
本篇为您分享通俗唱法曲谱 心中的日月(陈宇佐词 王力宏曲),由陈宇佐 王力宏 词/曲,王力宏 演唱,铭铭 编辑整理…...
1349 通俗唱法歌谱 心中的日月 陈宇佐 王力宏本篇为您分享通俗唱法曲谱 明天的记忆(刘祥云词 荣亚楠曲),由刘祥云 荣亚楠 词/曲, 演唱,鸽子 编辑整理…...
185 通俗唱法歌谱 明天的记忆 刘祥云 荣亚楠本篇为您分享通俗唱法曲谱 爱在人间(崔殿广词 刘北休曲),由崔殿广 刘北休 词/曲, 演唱,龙眼 编辑整理…...
430 通俗唱法歌谱 爱在人间 崔殿广 刘北休本篇为您分享通俗唱法曲谱 手机手机,由衣思帅 杜继凯 秦凯龙 词/曲,栾先磊 演唱,贝儿 编辑整理…《手机手机》文本歌词手机 手机演唱:栾先磊作词:衣思帅 杜继凯作曲:秦凯龙编曲:北京凯龙音乐工作室监制:秦凯龙出品:青岛桥艺文化传播有限公司发行:北京金色年华音乐影视传媒有限公司手 机手 机 我的小手...
456 通俗唱法歌谱 手机手机 秦凯龙 栾先磊本篇为您分享通俗唱法曲谱 一路阳光 灿烂你我,由周燕君、赵凌云 周燕君 词/曲,周燕君 演唱,桃蜜蜜 编辑整理…《一路阳光 灿烂你我》文本歌词《一路阳光 灿烂你我》作词:周燕君 赵凌云作曲:周燕君 演唱:周燕君 一路阳光,灿烂你我,一路花香,把心紧裹。飞翔的梦,飘成美丽花朵,春天在身...
422 通俗唱法歌谱 周燕君 赵凌云本篇为您分享通俗唱法曲谱 新年发发发(范修奎词 邓洛章曲),由范修奎 邓洛章 词/曲, 演唱,摩摩 编辑整理…...
321 通俗唱法歌谱 新年发发发 范修奎 邓洛章| 留言与评论(共有 0 条评论) |
