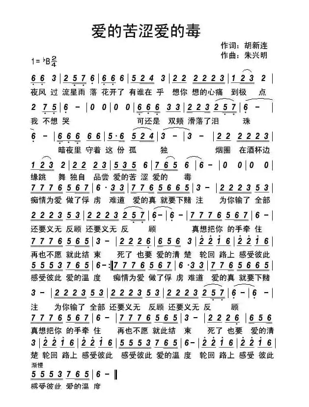
名称:爱的苦涩爱的毒
艺术家:冷儿
国家:中国
作词:胡新连
作曲:朱兴明
演唱:冷儿
分类:声乐谱
子类:通俗唱法歌谱
类型:简谱/五线谱
文件格式:jpg
致谢:《曲谱查询网》衷心感谢作者老师馈赠原版歌谱!
MP3试听:http://5sing.kugou.com/yc/2192130.html

《爱的苦涩爱的毒》文本歌词
爱的苦涩爱的毒
作词:胡新连
作曲:朱兴明
编曲:黄良羽
演唱:冷儿
夜风过,流星雨落
花开了,有谁在乎
想你想的心痛到冰点
我不想哭
可还是双颊滑落了泪珠
暗夜里守着这份孤独
烟圈在酒杯边缘跳舞
独自品尝爱的苦涩爱的毒
痴情为爱作了俘虏
难道爱的真就要下赌注
为你输了全部
还要义无反顾
真想把你的手牵住
再也不愿就此结束
死了都要爱的清楚
轮回路上感受彼此爱的温度












