
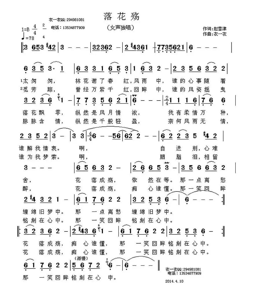
落花殇_通俗唱法乐谱_词曲:刘雪津 衣一衣简谱歌词是曲谱查询网于2023年06月09日 02:59:51更新在通俗歌曲谱频道中的内容,收录在通俗歌曲谱栏目中;曲谱查询网分享的落花殇_通俗唱法乐谱_词曲:刘雪津 衣一衣简谱五线谱高清图片,欢迎在线免费下载;曲谱查询网无需注册,即可直接下载海量歌曲谱与乐器学习相关资料。
曲谱查询网收录古今中外海量歌曲谱,如歌曲简谱、乐曲五线谱、PDF乐谱、戏曲谱、器乐相关资源下载等,欢迎查阅!

落花殇_通俗唱法乐谱_词曲:刘雪津 衣一衣简谱歌词是曲谱查询网于2023年06月09日 02:59:51更新在通俗歌曲谱频道中的内容,收录在通俗歌曲谱栏目中;曲谱查询网分享的落花殇_通俗唱法乐谱_词曲:刘雪津 衣一衣简谱五线谱高清图片,欢迎在线免费下载;曲谱查询网无需注册,即可直接下载海量歌曲谱与乐器学习相关资料。
本篇为您分享通俗唱法曲谱 富强之歌(邓永旺词 江晖曲),由邓永旺 江晖 词/曲, 演唱,小牛子 编辑整理…致谢:《曲谱查询网》衷心感谢作者老师馈赠原版歌谱!...
1103 通俗唱法歌谱 富强之歌 邓永旺 江晖本篇为您分享通俗唱法曲谱 我不是真的很野,由杨显群 杨铭 词/曲, 演唱,小九 编辑整理…...
1327 通俗唱法歌谱 我不是真的很野 杨显群 杨铭本篇为您分享通俗唱法曲谱 有钱没钱回家过年(许光万词 吴建阳曲),由许光万 吴建阳 词/曲, 演唱,贝贝 编辑整理…...
1263 通俗唱法歌谱 有钱没钱回家过年 许光万 吴建阳本篇为您分享通俗唱法曲谱 我站在白云尖上,由思未 张俊 词/曲, 演唱,品浩 编辑整理…选自《泰顺歌曲集》...
795 通俗唱法歌谱 我站在白云尖上 思未 张俊本篇为您分享通俗唱法曲谱 美美大中国(简谱+五线谱),由刘玉广 文林 词/曲, 演唱,铂铂 编辑整理…...
974 通俗唱法歌谱 美美大中国 刘玉广 文林本篇为您分享通俗唱法曲谱 为什么爱情有风也有雨(电视剧《雨竹》主题曲),由徐恩志 许镜清 词/曲, 演唱,小东 编辑整理…...
1387 通俗唱法歌谱 为什么爱情有风也有雨 徐恩志 许镜清本篇为您分享通俗唱法曲谱 花落谁家(李大山词 万利娟曲),由李大山 万利娟 词/曲, 演唱,大贝 编辑整理…...
1085 通俗唱法歌谱 花落谁家 李大山 万利娟本篇为您分享通俗唱法曲谱 告诉我(电视专题片《国魂》主题歌),由李幼容 付林 付林 词/曲,毛阿敏 演唱,小孩 编辑整理…...
1230 通俗唱法歌谱 告诉我 付林 毛阿敏| 留言与评论(共有 0 条评论) |
