
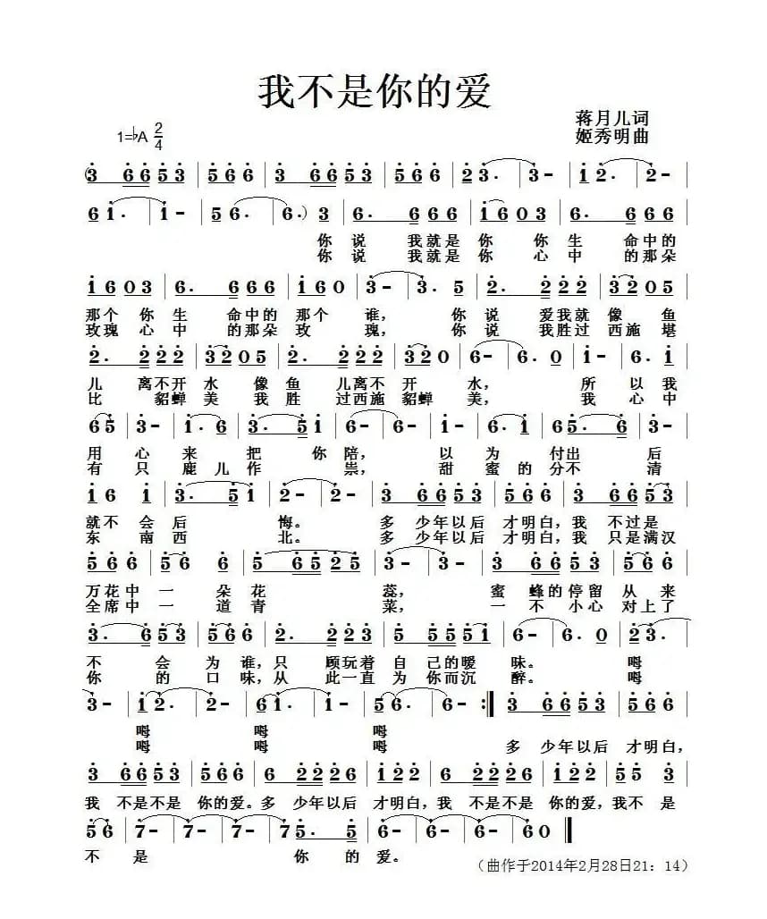
我不是你的爱_通俗唱法乐谱_词曲:蒋月儿 姬秀明简谱歌词是曲谱查询网于2023年06月10日 21:04:22更新在通俗歌曲谱频道中的内容,收录在通俗歌曲谱栏目中;曲谱查询网分享的我不是你的爱_通俗唱法乐谱_词曲:蒋月儿 姬秀明简谱五线谱高清图片,欢迎在线免费下载;曲谱查询网无需注册,即可直接下载海量歌曲谱与乐器学习相关资料。
曲谱查询网收录古今中外海量歌曲谱,如歌曲简谱、乐曲五线谱、PDF乐谱、戏曲谱、器乐相关资源下载等,欢迎查阅!

我不是你的爱_通俗唱法乐谱_词曲:蒋月儿 姬秀明简谱歌词是曲谱查询网于2023年06月10日 21:04:22更新在通俗歌曲谱频道中的内容,收录在通俗歌曲谱栏目中;曲谱查询网分享的我不是你的爱_通俗唱法乐谱_词曲:蒋月儿 姬秀明简谱五线谱高清图片,欢迎在线免费下载;曲谱查询网无需注册,即可直接下载海量歌曲谱与乐器学习相关资料。
本篇为您分享通俗唱法曲谱 刺客,由林振强 刘明达 词/曲, 演唱,小熊 编辑整理…《刺客》文本歌词刺客林振强词 刘明达曲 谭咏麟演唱转转转早晚在潜逃,迷乱又倦越去越迷途,往那处那神秘刺客也必追到,我扑进黑暗地窖,还用夜幕密罩着头颅,那刺客却又狂笑杀到,还提着屠刀,它 它叫孤寂,它 又名回忆,它 要以...
653 通俗唱法歌谱 刺客 林振强 刘明达本篇为您分享通俗唱法曲谱 飘雪的圣诞(紫竹心词 宋近林曲),由紫竹心 宋近林 词/曲, 演唱,阿峰 编辑整理…主旋律试听:http://yc.5sing.com/586411.html...
305 通俗唱法歌谱 飘雪的圣诞 紫竹心 宋近林本篇为您分享通俗唱法曲谱 那些要记一辈子的事,由飞鸟与鱼 手辰 岛主大仙 词/曲,枫桥 演唱,月月 编辑整理…《那些要记一辈子的事》文本歌词那些要记一辈子的事飞鸟与鱼 手辰 词岛主大仙 曲编打开了泛黄的日记翻开了尘封的记忆某一页只有一行字这件事 我记一辈子我已经用尽所有力气去搜寻往昔全部...
146 通俗唱法歌谱 那些要记一辈子的事 岛主大仙 枫桥本篇为您分享通俗唱法曲谱 大宅门(电视剧《大宅门》主题歌),由易茗 赵季平 词/曲, 演唱,壮壮 编辑整理…...
1203 通俗唱法歌谱 大宅门 易茗 赵季平本篇为您分享通俗唱法曲谱 铁血丹心(电视剧《射雕英雄传》主题歌),由黄霑 顾嘉辉 词/曲, 演唱,赫赫 编辑整理…...
664 通俗唱法歌谱 铁血丹心 黄霑 顾嘉辉本篇为您分享通俗唱法曲谱 挑战青春,由赵文荣 贾金喜 词/曲, 演唱,海棠 编辑整理…主旋律试听:http://yc.5sing.com/556046.html...
351 通俗唱法歌谱 挑战青春 赵文荣 贾金喜本篇为您分享通俗唱法曲谱 青春像朵美丽的花,由曾宪瑞 赵德鏞 词/曲, 演唱,冬枣 编辑整理…...
1033 通俗唱法歌谱 青春像朵美丽的花 曾宪瑞 赵德鏞本篇为您分享通俗唱法曲谱 爱的印记,由贺美刚 京画 词/曲,京画 演唱,小果子 编辑整理…《爱的印记》文本歌词《爱的印记》我为你流了一夜的眼泪在你走后的那个晚上我年轻的心已感到自己的脆弱在每个思你念你的日子里你走得那么无悔不在有往日的温情擦不掉抹不去这爱的印记我为这过去感到叹息一个人在沉醉不知不觉又...
804 通俗唱法歌谱 爱的印记 贺美刚 京画本篇为您分享通俗唱法曲谱 爱情滋味,由焦一富蓝 周善儒 词/曲, 演唱,大烧麦 编辑整理…歌词发表在《词刊》2013年2期...
109 通俗唱法歌谱 爱情滋味 焦一富蓝 周善儒| 留言与评论(共有 0 条评论) |
