

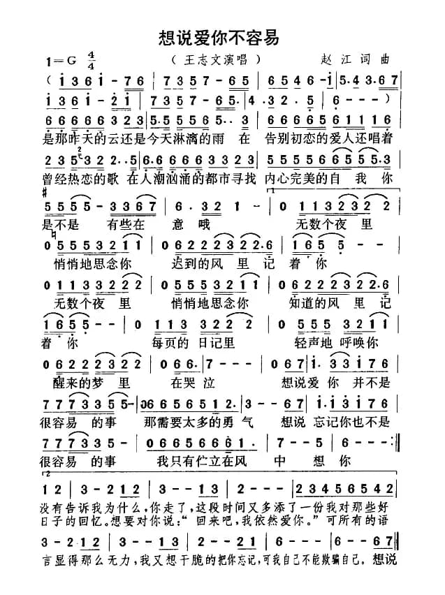
想说爱你不容易_通俗唱法乐谱_词曲:赵江 赵江简谱歌词是曲谱查询网于2023年06月18日 04:48:15更新在通俗歌曲谱频道中的内容,收录在通俗歌曲谱栏目中;曲谱查询网分享的想说爱你不容易_通俗唱法乐谱_词曲:赵江 赵江简谱五线谱高清图片,欢迎在线免费下载;曲谱查询网无需注册,即可直接下载海量歌曲谱与乐器学习相关资料。
曲谱查询网收录古今中外海量歌曲谱,如歌曲简谱、乐曲五线谱、PDF乐谱、戏曲谱、器乐相关资源下载等,欢迎查阅!


想说爱你不容易_通俗唱法乐谱_词曲:赵江 赵江简谱歌词是曲谱查询网于2023年06月18日 04:48:15更新在通俗歌曲谱频道中的内容,收录在通俗歌曲谱栏目中;曲谱查询网分享的想说爱你不容易_通俗唱法乐谱_词曲:赵江 赵江简谱五线谱高清图片,欢迎在线免费下载;曲谱查询网无需注册,即可直接下载海量歌曲谱与乐器学习相关资料。
本篇为您分享通俗唱法曲谱 风中情,由中印彩 丛伟 词/曲, 演唱,维儿 编辑整理…谱友王少忠留言:《风中情》的作词是王少忠,怎么是中印彩呢?改改。...
832 通俗唱法歌谱 风中情 中印彩 丛伟本篇为您分享通俗唱法曲谱 同在一片蓝天下(刘居上词 颂今曲),由刘居上 颂今 词/曲, 演唱,小米 编辑整理…致谢:《曲谱查询网》衷心感谢作者老师馈赠原版歌谱!...
1739 通俗唱法歌谱 同在一片蓝天下 刘居上 颂今本篇为您分享通俗唱法曲谱 一千年以后,由李瑞海 林俊杰 词/曲,林俊杰 演唱,小陈玄 编辑整理…...
1409 通俗唱法歌谱 一千年以后 李瑞海 林俊杰本篇为您分享通俗唱法曲谱 君若不是薄幸人 ,由钱久元 钱久元 词/曲, 演唱,颜宴 编辑整理…...
1652 通俗唱法歌谱 君若不是薄幸人 钱久元本篇为您分享通俗唱法曲谱 爱情没有商量,由真邈云汉 荣亚楠 词/曲, 演唱,株株 编辑整理…...
883 通俗唱法歌谱 爱情没有商量 真邈云汉 荣亚楠本篇为您分享通俗唱法曲谱 因你而精彩(杨跃伟 雷广宇词 雷广宇曲),由杨跃伟 雷广宇 雷广宇 词/曲,李赞 演唱,Gabriel 编辑整理…《因你而精彩》文本歌词《因你而精彩》杨跃伟 雷广宇 词 雷广宇 曲来吧,来吧,唱吧,跳吧迈出青春步伐节奏劲爆歌声响亮激情在喷发闪烁的灯光绚丽的舞台激荡我...
194 通俗唱法歌谱 因你而精彩 雷广宇 李赞| 留言与评论(共有 0 条评论) |
