MV欣赏:http://v.youku.com/v_show/id_XMTY0NDM2MjQ3Mg==.html
![[俄]飞吧,小羽毛(电视系列片《剿灭魔鬼巢穴》插曲 )(中俄文对照)](http://img2.qpcxw.com/uploads/images/waiguo/016/jkifwkmcxzg.webp)
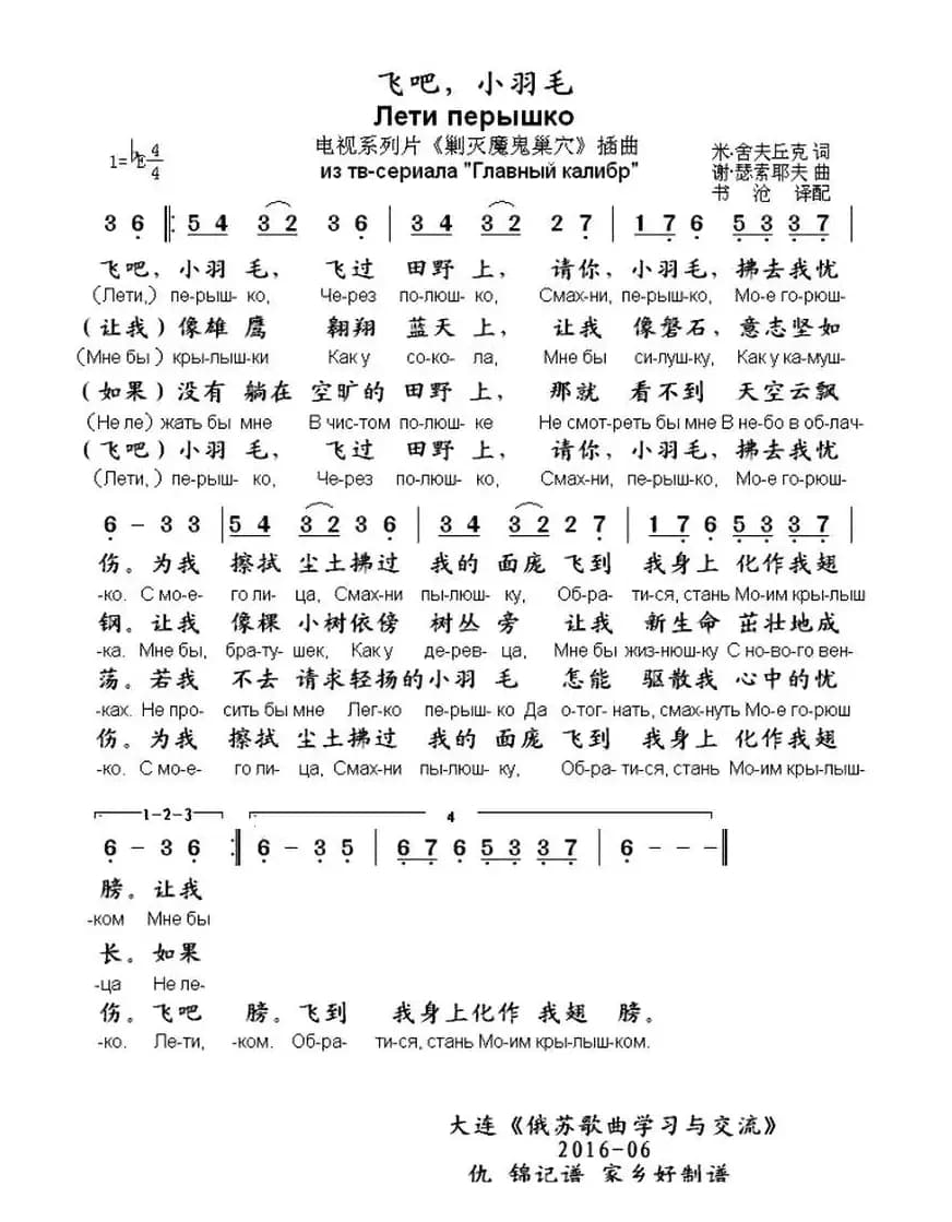
《[俄]飞吧,小羽毛(电视系列片《剿灭魔鬼巢穴》插曲 )》文本歌词
飞吧,小羽毛
电视系列片《剿灭魔鬼巢穴》插曲
米.舍夫丘克 词
谢.瑟索耶夫 曲
书 沧 译配
飞吧,小羽毛,
飞过田野上,
请你,小羽毛,
拂去我忧伤。
为我擦拭尘土,
拂过我的面庞,
飞到我身上
化作我翅膀。
让我像雄鹰
翱翔蓝天上,
让我像磐石,
意志坚如钢。
让我像棵小树,
依傍树丛旁,
让我新生命
茁壮地成长。
如果没有躺在
空旷的田野上,
那就看不到
天空云飘荡。
若我不去请求,
轻扬的小羽毛,
怎能驱散我
心中的忧伤。
飞吧,小羽毛,
飞过田野上,
请你,小羽毛,
拂去我忧伤。
为我擦拭尘土,
拂过我的面庞,
飞到我身上
化作我翅膀。
2016 6 3
飞吧,小羽毛(俄罗斯)_外国歌谱_词曲:米·舍夫丘克 谢·瑟索耶夫曲、书沧译配简谱歌词是曲谱查询网于2023年05月12日 12:50:51更新在外国曲谱频道中的内容,收录在外国曲谱栏目中;曲谱查询网分享的飞吧,小羽毛(俄罗斯)_外国歌谱_词曲:米·舍夫丘克 谢·瑟索耶夫曲、书沧译配简谱五线谱高清图片,欢迎在线免费下载;曲谱查询网无需注册,即可直接下载海量歌曲谱与乐器学习相关资料。




![核桃树(德国)_外国歌谱_词曲:[德]摩孙 [德]舒曼](http://pic.qpcxw.com/uploads/img/016/yps4hr1xqnv.webp)



![铁匠曲(奥地利)_外国歌谱_词曲:章珍芳译配 [奥]莫扎特](http://pic.qpcxw.com/uploads/img/016/c5dlgsg1uix.webp)
















![夜莺(德国)_外国歌谱_词曲: [德]门德尔松](http://pic.qpcxw.com/uploads/img/016/uvow2f0wagt.webp)
