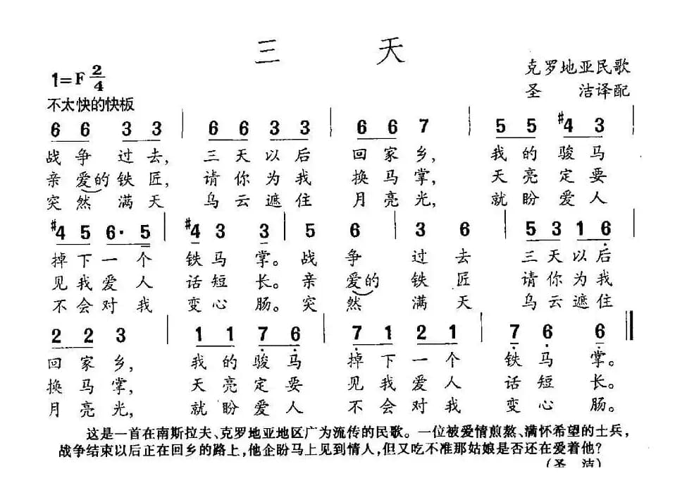
![[克罗地亚] 三天](http://img2.qpcxw.com/uploads/images/waiguo/016/wjslbjhf43f.webp)
三天(克罗地亚)_外国歌谱_词曲: 圣洁译配简谱歌词是曲谱查询网于2023年05月14日 01:03:50更新在外国曲谱频道中的内容,收录在外国曲谱栏目中;曲谱查询网分享的三天(克罗地亚)_外国歌谱_词曲: 圣洁译配简谱五线谱高清图片,欢迎在线免费下载;曲谱查询网无需注册,即可直接下载海量歌曲谱与乐器学习相关资料。
曲谱查询网收录古今中外海量歌曲谱,如歌曲简谱、乐曲五线谱、PDF乐谱、戏曲谱、器乐相关资源下载等,欢迎查阅!
![[克罗地亚] 三天](http://img2.qpcxw.com/uploads/images/waiguo/016/wjslbjhf43f.webp)
三天(克罗地亚)_外国歌谱_词曲: 圣洁译配简谱歌词是曲谱查询网于2023年05月14日 01:03:50更新在外国曲谱频道中的内容,收录在外国曲谱栏目中;曲谱查询网分享的三天(克罗地亚)_外国歌谱_词曲: 圣洁译配简谱五线谱高清图片,欢迎在线免费下载;曲谱查询网无需注册,即可直接下载海量歌曲谱与乐器学习相关资料。
本篇为您分享外国歌曲谱 [新加坡]亲爱的沙贝琴你在何方(正谱),由[新加坡]槐华 [新加坡]槐华 词/曲, 演唱,小亮仔 编辑整理…...
437 新加坡 亲爱的沙贝琴你在何方 槐华本篇为您分享外国歌曲谱 [德]亲爱的森林(正谱),由 [德]G·亨德尔 词/曲, 演唱,琸宇 编辑整理…《[德]亲爱的森林》文本歌词8.亲爱的森林(正谱)[德]G·亨德尔 曲 (1685-1759) 周枫 译配...
34 德国 亲爱的森林 G·亨德尔本篇为您分享外国歌曲谱 心儿永年轻(Young at Heart),由卡罗琳·莱 约尼·理查兹 词/曲, 演唱,xavier 编辑整理…...
1396 心儿永年轻 卡罗琳·莱 约尼·理查兹本篇为您分享外国歌曲谱 声乐教学曲库4-[德-奥]1纺车旁的格丽卿(正谱) ,由歌德 F·舒伯特 词/曲, 演唱,太阳 编辑整理…《 声乐教学曲库4-[德-奥]1纺车旁的格丽卿(正谱) 》文本歌词声乐教学曲库4-[德-奥]1纺车旁的格丽卿(正谱)歌德 词F·舒伯特 曲邓映易 译配...
997 声乐教学曲库4-德-奥地利 1纺车旁的格丽卿 歌德国 F·舒伯特本篇为您分享外国歌曲谱 摇八音琴的老乞丐(中外文对照、正谱),由 舒伯特曲、尚家骧译 词/曲, 演唱,侍侍 编辑整理…...
1488 摇八音琴的老乞丐 舒伯特曲 尚家骧译本篇为您分享外国歌曲谱 [意]41爱情就像小鸟(正谱),由贝尔法果尔/尼扎 伊琪尼 词/曲, 演唱,小樱 编辑整理…《[意]41爱情就像小鸟(正谱)》文本歌词[意]41爱情就像小鸟(正谱)贝尔法果尔/尼扎 词伊琪尼 曲薛范 译配...
92 意大利 41爱情就像小鸟 伊琪尼本篇为您分享外国歌曲谱 [前苏联]朋友(男声合唱、正谱),由 孟广钧译配、徐之彤配伴奏 词/曲, 演唱,冬冬 编辑整理…...
1593 前苏联 朋友 孟广钧译配 徐之彤配伴奏本篇为您分享外国歌曲谱 声乐教学曲库4-[俄]59别唱,美人(正谱) ,由普希金 С·В·拉赫玛尼诺夫 词/曲, 演唱,小笼包 编辑整理…《声乐教学曲库4-[俄]59别唱,美人(正谱) 》文本歌词声乐教学曲库4-[俄]59别唱,美人(正谱)普希金 词С·В·拉赫玛尼诺夫 曲徐朗 译配...
670 声乐教学曲库4-俄罗斯 59别唱 美人 普希金 С·В·拉赫玛尼诺夫本篇为您分享外国歌曲谱 [美]科罗拉多河上的月光(艾里埃词曲),由艾里埃 艾里埃 词/曲, 演唱,吉娃娃 编辑整理…...
1832 美国 科罗拉多河上的月光 艾里埃| 留言与评论(共有 0 条评论) |
