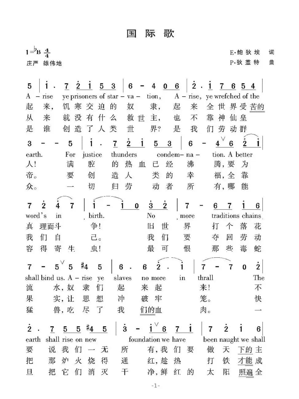
《国际歌》(法语:L'Internationale)是国际共产主义运动中最著名的一首歌。由皮埃尔·狄盖特于1888年作曲,原文(法语)的歌词由欧仁·鲍狄埃在1871年所作。这首无产阶级战歌很快被翻译成世界上的许多种语言。是国际共产主义运动中最著名的一首歌。热情讴歌了巴黎公社战士崇高的共产主义理想和英勇不屈的革命气概。向资本主义宣战,充分表现了革命无产阶级不屈的豪迈气魄,这首歌曲在世界范围内流传极广。它曾是第一国际和第二国际的会歌;上世纪20年代,苏联以《国际歌》为国歌。1944年正式改用新国歌后,则把《国际歌》作为联共(布)党(1952年改名苏联共产党)党歌。1920年中国首次出现由瞿秋白译成中文的《国际歌》。1923年由萧三在莫斯科根据俄文转译、由陈乔年配歌的《国际歌》开始在中国传唱。1962年译文重新加以修订。
![[法] 国际歌](http://img2.qpcxw.com/uploads/images/waiguo/016/ub3cpi2r0wn.webp)
![[法] 国际歌](http://img2.qpcxw.com/uploads/images/waiguo/016/mxtgrkzq3jh.webp)
![[法] 国际歌](http://img2.qpcxw.com/uploads/images/waiguo/016/5q3ct4c2jw3.webp)
![[法] 国际歌](http://img2.qpcxw.com/uploads/images/waiguo/016/uisld1c1rvf.webp)
![[法] 国际歌](http://img2.qpcxw.com/uploads/images/waiguo/016/5f45bdrvj0f.webp)
![[法] 国际歌](http://img2.qpcxw.com/uploads/images/waiguo/016/utkpgxojgec.webp)
![[法] 国际歌](http://img2.qpcxw.com/uploads/images/waiguo/016/rc2kttzapok.webp)
国际歌(法国)_外国歌谱_词曲:欧仁·鲍狄埃 皮埃尔·狄盖特简谱歌词是曲谱查询网于2023年05月16日 19:32:03更新在外国曲谱频道中的内容,收录在外国曲谱栏目中;曲谱查询网分享的国际歌(法国)_外国歌谱_词曲:欧仁·鲍狄埃 皮埃尔·狄盖特简谱五线谱高清图片,欢迎在线免费下载;曲谱查询网无需注册,即可直接下载海量歌曲谱与乐器学习相关资料。



![乘着那歌声的翅膀(德国)_外国歌谱_词曲: [德]F·门德尔松](http://pic.qpcxw.com/uploads/img/016/ac5hcqob52e.webp)









![9我爱过你(俄罗斯)_外国歌谱_词曲:[俄]普希金 [俄]达尔戈梅斯基](http://pic.qpcxw.com/uploads/img/016/ruxaznaewxh.webp)




![柳儿,你别悲伤(意大利)_外国歌谱_词曲: [意]G.普契尼](http://pic.qpcxw.com/uploads/img/016/1apd5v3amr4.webp)
![我记得美妙的一瞬间(俄罗斯)_外国歌谱_词曲:[俄]普希金 [俄]格林卡](http://pic.qpcxw.com/uploads/img/016/aycczgodrcz.webp)

![华沙颂(波)_外国歌谱_词曲:[波]佚名 [波]佚名](http://pic.qpcxw.com/uploads/img/016/j2wmcrg2ujk.webp)

![摇篮曲_外国歌谱_词曲:许地山译词 [德]勃拉姆斯](http://pic.qpcxw.com/uploads/img/016/1x51ishljru.webp)
![吉卜赛女郎之歌(俄罗斯)_外国歌谱_词曲:[俄]波萨斯基 [俄]柴可夫斯基曲、周枫译配](http://pic.qpcxw.com/uploads/img/016/aktfhgrxjdi.webp)

